冷却解析は、完全 3D 金型冷却解析です。冷却解析では、BEM(境界要素法)を基に開発された、数値的な手法が使用されます。BEM では、物理的な観点から、解を求めるときにすべての境界を熱源(取得熱/損失熱)と見なします。
金型の温度は、すべての熱源の影響を総合して決定されます。
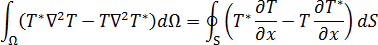
3D 金型の平衡温度場は、ラプラスの式によって次のように表現することができます。
は温度
はラプラス演算子
は金型の内部および表面の領域
について上式が成り立つものとします。この場合、境界条件は次のように統合されます。
は金型材料の熱伝導率
は金型境界の外向きの法線微分
は金型境界の等価熱伝達係数
は周囲環境の等価温度
は特定の点
は金型表面(境界) BEM ですべての境界条件が、金型温度場の解法にどのように適用されるか理解するため、まず、重みつき残差式について確認しましょう。
ここで、
は重み関数です。
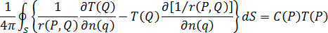
グリーンの第 2 等式を利用すると、式(3)は次の形式に変換することができます。
を 次のように定義された式 (1)の基本解として選択します。
ここで、
はディラックのデルタ関数です。3D 金型では、次のようになります。
と
は空間の 2 つの点であり、
はこれらの 2 点間の距離を表します。 
、
は、立体内角に比例する定数です。
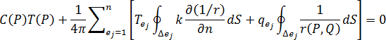
)を
個の要素に分割した場合、温度と温度変化が各境界要素で一定であると仮定すると、式(7)は次の形式に離散化することができます。
は特定の要素
は金型材料の熱伝導率
は要素
の温度 温度作用項(いわゆる H 項)は、要素
の 点
に対する、温度の影響の強さを表し、次の式で計算されます。
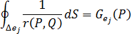
熱流束作用項(いわゆる G 項)は、要素
の 点
に対する、熱流束入力の影響の強さを表し、次の式で計算されます。
が 要素
の重心であると仮定します。式(9)の
に
を代入すると、次のような
個の線形方程式を得ることができます。