繊維配向モデル パラメータ ダイアログ ボックス

このダイアログ ボックスは、[長繊維用の ARD-RSC モデル]の値を指定するために使用されます。

このダイアログ ボックスにアクセスするには、[繊維配向計算に使用]ドロップ ダウン メニューで[長繊維用の ARD-RSC モデル]を選択して、[設定の編集]をクリックします。

ウィジェット 説明
Reduced Strain Closure ファクター - 直交完結近似 これは、RSC とも呼ばれ、次において係数 K になります。

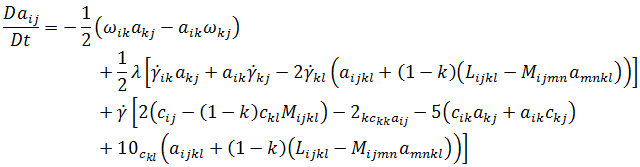
Anisotropic Rotary Diffusion モデル

B1 ~ B5 パラメータ B1 ~ B5 パラメータは、Anisotropic Rotary Diffusion モデルの次の方程式に挿入されます。この方程式では、回転拡散テンソルはです を および の二次関数として仮定し、次のように定義します。