Openings should have two types of reinforcement applied.
- Horizontal reinforcement (upper and lower) is calculated on the basis of the principles described in the BAEL 91/E.5.6 code, resulting from the operation of the averaged load "p", originating in the operation of vertical interactions and moments.
- In vertical reinforcement in the form of hidden columns within the deep beam, the amount of reinforcement on one side of the opening is to equal at least a half of the reinforcement that would have appeared in the opening area. The length of the reinforcement sticking outside the opening limits is to equal ls + l/2, where ls - anchoring length, l - opening width.
Reinforcement Calculations [on the basis of BAEL 91/E.5.6]
Calculations according to the method of relieving vaulting:
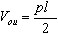
Condition:
The Area of the Main Horizontal Reinforcement
where:
- Shear force in Ultimate Limit State.
p - Force in Ultimate Limit State at the upper level of the opening.
The Area opf Distibuted Horizontal Reinforcement A h
This reinforcement should fulfill the following conditions.
- Distribution in the lower and upper part of the opening at the height equal to the width of the opening.
- The cross-section of this reinforcement refers to the opening and is unrelated to deep beam reinforcement.
- Reinforcement is anchored at both sides along the length not smaller than 1/3 of the opening width.
Vertical Reinforcement- Suspended Ah
This reinforcement should fulfill the following conditions.
- Assures the possibility of suspending loads in the 0.75l zone.
- Embraces the reinforcement A t,
- The cross-section of this reinforcement refers to the opening and is unrelated to deep beam reinforcement.
- Assumes the U shape.
- s v - The reinforcement spacing should equal = min(2b o; 33 cm).