天井の上のスペースを空調還気パスとして使用している場合、そのスペースは空調還気天井プレナムです。従来のダクト還気と異なり、天井プレナムにはパス中に複数の熱源が存在する場合があります。これらの熱源としては、照明や変圧器からの輻射負荷および対流負荷や、隣接する壁、屋根、ガラス、または天井プレナム内のダクトおよび配管システムからの通過熱負荷が考えられます。
次の式は、天井プレナムの温度と熱伝達をエンジンで計算する方法を示します。
(35)
(36)
(37)
(38)
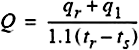
(39)
ここで、
= 天井を通じた天井プレナムからスペースへの熱取得(Btu/h)
= 上部の床を通じた天井プレナムからの熱損失(Btu/h)
= 空調還気による熱取得の「ピックアップ」(Btu/h)
= 空調還気風量(Btu/h)
= 空調還気による天井プレナムへの照明による熱取得(Btu/h)
= スペースへの照明による熱取得(Btu/h)
= 下部の天井プレナムからの、床を通じた熱取得(Btu/h)
= 外壁からの熱取得(Btu/h)
=
、
、
の適切な処理を含むスペース冷房負荷(Btu/h)
= 天井プレナム温度(°F)
= スペース温度(°F)
= 上部の床のスペース温度(°F)
= 給気温度(°F)

一般的な還気天井プレナムの回路図