解析特性
参考文献
Davis, G. De Vahl and Jones, I.P., "Natural convection in a square cavity: a comparison exercise", Inter. Jour. for Num. Meth. in Fluids, 3, (1983)
問題の説明
キャビティ内の層流、浮力流れに対して温度と流速の分布が計算されます。左右の壁面には温度差1Kの固定温度が設定され、上下の壁面は断熱されています。
レイリー数は次のように計算されます:
は体積膨張係数で、次のように定義されます。
は密度、
は比熱、
と
はそれそれ左、??の壁温度です。
は粘性です。
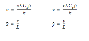
Autodesk® CFD の液体流れと熱伝達の計算精度を検証するため、この問題を解析します。精度は、 キャビティ内の特定の位置において速度成分を比較することにより評価します。流速および座標は、次のように、Davies などの実験に基づいて無次元化します。
ジオメトリと境界条件
結果
、
、
、
について上記の通り定義された式を使用して、以下のような結果が得られます:
| ベンチマーク | 2016: ビルド 20150209 | 誤差 % | 2017: ビルド 20160302 | 誤差 % | |
|
16.178 | 15.907 | 1.673 | 15.878 | 1.850 |
|
0.823 | 0.826 | 0.404 | 0.826 | 0.404 |
|
19.617 | 19.538 | 0.402 | 19.521 | 0.486 |
|
0.119 | 0.115 | 3.132 | 0.117 | 1.653 |