許容応力

X: 強軸

Y: 弱軸

Z: 主軸

変数 説明
α 山形材の主軸の回転角
A 断面積
Af 圧縮フランジの面積
As 管状部材(パイプ)のせん断面積
Asx 角柱部材の X せん断面積
Asy 角柱部材の Y せん断面積
b 部材の幅(b ≤ d)
b0

中立軸からウェブの先端までの距離:

be 管構造部材の有効幅
bf フランジの幅
Cb モーメント勾配に依存する曲げ係数(断面 F)
Cc 柱の弾性座屈と非弾性座屈を分ける細長比(断面 E)
Cmx、Cmx 相互作用方程式の曲げの項に適用される係数(断面 H)
d 部材の奥行き(d ≥  b)
E [ヤング率]
E0

溝形材のウェブの中心線からせん断中心までの距離:

E0 = e0 + tw/2

Fa 最大許容圧縮応力
Fb 最大許容曲げ応力
Fbx 強軸の最大許容曲げ応力
Fby 弱軸の最大許容曲げ応力

Fex、Fey

安全係数で割った角柱部材のオイラー応力
Ft 最大許容引張応力
Fy 降伏応力
Fn 最大許容せん断応力
fa 計算による軸応力(引張または圧縮、いずれも正数としてとる)
fb 計算による曲げ応力(いずれも正数としてとる)
fbx 計算による強軸の曲げ応力
fby 計算による弱軸の曲げ応力
fvx 計算による X 方向のせん断応力
fvy 計算による Y 方向のせん断応力
h

I 形材のフランジ間の間隔:

h = d 2tf

Ix、Iy 主軸周りの慣性モーメント
Iu、Iv 山形材の主軸周りの慣性モーメント
K 角柱部材の有効長さ
L 圧縮フランジのねじれ変位または横変位に対して支持されている断面間の距離
Lb 圧縮フランジの横方向の非支持部の長さ
Lc 圧縮フランジの非支持部の最大長さ
Lx、Ly X および Y 方向の L
M1、M2 (この順に)非支持部長さの先端での小さいモーメントと大きいモーメント
P 軸力荷重
r 適用回転半径
rT 圧縮フランジと圧縮ウェブ面積の 1/3 との合計で構成される断面の回転半径(ウェブの面上の軸を中心とする)
rx、ry 主軸を中心とした回転半径
t [厚さ]:
tf フランジの厚さ
U、V 山形材の主軸
u、v 主軸からの距離
x、y 山形断面の図心のオフセット

許容応力

I 形材および溝形材では、X が強軸、Y が弱軸です。T 形材では、どちらを強軸にしてもかまいません。

1. 強軸の曲げ応力

  • 部材は、弱軸 Y 方向に荷重を受けます(強軸 X 方向に曲げが生じます)。
  • ここでは、この強軸の最大許容曲げ応力を Fb と呼びます。
  • 次の 2 つのカテゴリを考慮します。
    1. I 形材、T 形材、および溝形材
    2. パイプおよび管状構造部材(正方形、長方形のダクトおよびパイプを含む)

1.A. コンパクト断面の部材

    カテゴリ I. I 形材、T 形材、および溝形材 セクション F1.1

  • コンパクト フランジの T 形材を含みます。
  • X 軸方向に荷重を受ける T 形材についてはこのコード チェックでは考慮しません。
  • xx > Iyy であるすべての I 形材、溝形材に適用します。Ixx Iyy である T 形材についてはこのコード チェックでは考慮しません。

許容曲げ応力は次の式で表されます。

Fb = 0.66 Fy (F1-1)

ただし、制約条件として Lb Lc があり、これは次のいずれか小さい方により与えられます。

(F1-2)

    カテゴリ II. パイプおよび管状構造部材 セクション F3.1

    許容曲げ応力は次の式で表されます。

  • Fb = 0.66 Fy (F3-1)
  • ただし、次の条件があります。
    • 長方形部材の奥行きは、幅の 6 倍を上回らないものとします。
    • Lb Lc、ただし Lc は次の式により与えら得ます。
    (F3-2)

ただし、Lc は 1200 (b/Fy)以下である必要はありません。また、M1 は非支持部長さの先端の小さい曲げモーメント、M2 は最大曲げモーメントです(いずれも強軸を中心とする曲げモーメント)。

1.B. ノンコンパクト断面の部材

  • 制約条件 Lb Lc (F1-2)または(F3-2)を満たす必要があります。また、長方形部材の奥行きは、幅の 6 倍を上回らないものとします。
  • ノンコンパクト フランジの T 形材を含みます。
  • X 軸方向に荷重を受ける T 形材は考慮しません。

    カテゴリ I. I 形材、T 形材、および溝形材 セクション F1.2

(F1-3)

    カテゴリ II. パイプおよび管状構造部材 セクション F3.2

Fb = 0.60 Fy (F3-3)

1.C. Lb > Lc であるコンパクト断面またはノンコンパクト断面の部材

  • このセクションは、カテゴリ I の I 形材、T 形材、および溝形材にのみ適用可能です。

部材に生じる引張は次の式で表されます。

Fb = 0.60 Fy (F1-5)

部材に圧縮が生じる場合、許容曲げ応力は、(F1-6)または(F1-7)、および(F1-8)の式から求められる値のうちの最大値により決まります。ただし、次の例外があります。

  • 溝形材には式 (F1-8) のみ使用します。
  • 圧縮が生じる T 形材についてはこれらの式は適用されません。そのため、このような T 形材は考慮しません。

の場合

(F1-6)

の場合

(F1-7)

L/rT の値は次の式で表されます。

(F1-8)

式(F1-6)、(F1-7)、(F1-8)において、Cb は通常は 1.0 とします。

2. 弱軸の曲げ応力

  • このセクションはカテゴリ I の I 形材、T 形材、溝形材、およびソリッドの棒状部材(角柱部材)にのみ適用可能です。
  • カテゴリ II の管状構造部材では、強軸に対して用いる Fb の値を弱軸に対しても使用します。
  1. 部材は、強軸 X 方向に荷重を受けます(弱軸 Y 方向に曲げが生じます)。
    • この弱軸の許容曲げ応力を Fby と呼びますが、このセクションでは Fb と表します。
  2. すべての I 形材に適用可能で、それ以外については考慮しません。

    2.A. コンパクト断面の部材: セクション F2.1

  • Fb = 0.75 Fy (F2-1)

    2.B. ノンコンパクト断面の部材: セクション F2.2

  • (F2-3)

3. 引張応力

Ft = 0.60 Fy セクション D1

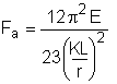
4. 圧縮応力

セクション E2

(E2-1)

ただし、KL/r は KLx/rx および KLy/ry のいずれか大きい方とします。これらはパイプおよび正方形についても同じです。また、次の式が成り立ちます。

(E2-2)

5. 複合応力

チャプター H

5.A. 軸方向の圧縮および曲げ

軸方向の圧縮と曲げの両方を生じる部材については、次の条件を満たす必要があります。

(H1-1)
(H1-2)

fa/Fa 0.15 の場合は、式 (H1-3) を式 (H1-1) および (H1-2) の代わりに使います。

(H1-3)

係数 Fex および Fey (安全率で割ったオイラー応力)は、次の式で与えられます。

係数 Cmx および Cmy の既定値は 0.85 です。

5.B. 軸方向の引張および曲げ

軸方向の引張と曲げの両方を生じる部材については、次の条件を満たす必要があります。

(H2-1)