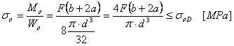
굽힘 응력

로드의 압력
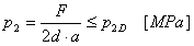
클레비스의 압력
전단 응력
설명:
|
F |
힘 [N] |
|
|
σ 0 |
굽힘 응력 [MPa] |
|
|
σ 0D |
허용 굽힘 응력 [MPa] |
|
|
M 0 |
굽힘 모멘트 [N mm] |
|
|
W 0 |
굽힘 단면 계수 [mm 3 ] |
|
| τ |
전단 응력 [MPa] |
|
|
τ D |
허용 전단 응력 [MPa] |
|
|
d |
핀 지름 [mm] |
|
|
p 1 |
로드의 압력 [MPa] |
|
|
p 2 |
클레비스의 압력 [MPa] |
|
|
p 1D |
로드의 허용 압력 [MPa] |
|
|
p 2D |
클레비스의 허용 압력 [MPa] |
|
|
b |
로드 폭 [mm] |
|
|
a |
클레비스 암 폭 [mm] |