입력 매개변수
입력 힘: F
외부 지름: D
내부 지름: D 0 (디스크 및 원추 브레이크만 해당)
폭: b
원추 각도: β(원추 브레이크만 해당)
브레이크 수(브레이크 표면): N
브레이크 압력(최대값): p(최대값)
브레이크 압력.속도(최대값): p.v(최대값)
시작 속도: n 0
끝 속도: n 1
시작 에너지: E. 에너지 계산 장 참고
계산된 매개변수
마찰력
밴드 브레이크의 경우
|
F t = F (e fα - 1) |
그 외의 경우
|
F t = F n f |
여기에서
| α | 각도별 길이 | |
| f | 마찰계수 | |
| F n | 법선력 | |
| 디스크 브레이크의 경우: | ||
|
F n = F / sin (β) |
||
| 그 외의 경우: | ||
|
F n = F |
||
브레이크 토크 계산
T = 0.5 D e F t
여기에서
|
D e |
등가 지름: |
|
|
원추 및 디스크 브레이크 |
||
|
|
||
|
그 외의 경우 D e = D |
압력 계산
여기에서
|
A = N b L |
브레이크 표면 |
|||
|
b |
폭 |
|||
|
L = 0.5 D s α |
길이 |
|||
| α |
각도 |
|||
|
D s |
평균 지름. 원추 및 디스크 브레이크의 경우 D s = 0.5(D + D 0 ) |
|||
|
그 외의 경우 D s = D |
||||
대략적인 브레이크 예열 검사
p ≤ p (M ax. )
p v ≤ p v (M ax. )
여기에서
|
v = π D n 0 / 60 |
시작 원주 속도 |
|
제동시간 계산
여기에서
|
|
감소된 관성 모멘트 |
|
|
|
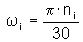
속도/회전 [rad/s] |
정지 시까지의 회전 수
출력 힘 F0
밴드 브레이크의 경우에만
F 0 = F + F t = F e fα