미드플레인 응력 또는 변형 해석의 경우 공정 설정 마법사의 응력 설정 또는 변형 설정 페이지에 출력할 응력 결과의 유형을 선택할 수 있는 옵션이 있습니다.
다음 결과 중 하나 이상을 선택할 수 있습니다.
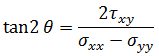
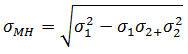
이러한 결과의 수학적 유도는 한 점에서의 응력 상태를 나타내는 잘 알려진 모어의 원으로 나타낼 수 있습니다.


은 최대 법선 응력이고
는 최소 법선 응력입니다. 기본 응력의 해당 방향을 각각 1차 기본 방향 및 2차 기본 방향이라고 합니다. 이러한 방향의 각도는 다음 방정식을 사용하여 계산됩니다. 


일반적으로 응력 결과를 조사할 때 제품 내 응력 분포와 제품의 최대 응력 레벨을 확인하십시오. 응력 및 변형은 요소의 상단과 하단에 대한 결과를 출력합니다(각각 정규화 두께 = 1 및 -1).
이러한 결과를 재료에 권장되는 최대 응력 및 제품에 대한 관련 설계 기준(예: 지정된 실패 기준)과 비교해야 합니다.
다음 그림에 표시된 대로 충전되지 않은 등방성 재료는 일반적으로 취성 또는 연성 동작을 보입니다. 이 그림에서 (a)는 취성을 나타내고 (b) 연성 응력-변형 동작을 나타냅니다.

각 사례에서 고려한 권장 응력 결과는 다음과 같습니다.
섬유 충전 이방성 재료의 경우 하중을 받는 제품의 동작, 실패의 역학 및 실패 설계 기준이 등방성 재료보다 훨씬 더 복잡합니다. 사용자 입장에서 컴포지트 재료의 응력 해석 및 결과 해석에는 특별한 전문 지식이 필요합니다.
항상 충전+보압 해석을 실행하여 응력 또는 변형 해석 전에 섬유 배향 데이터를 생성하십시오. 섬유 배향과 응력/변형 해석 모두 제품의 두께 방향으로 결과를 라미네이트 단위로 출력합니다.