해석 특성
참조
Massey, Bernard Stanford, Mechanics of Fluids, 3rd Edition, Van Nostrand Reinhold Co, 1975, p. 347.
문제 설명
이 테스트 모형에서는 글리세린 컬럼으로 티타늄 구를 떨어뜨립니다. 동작 기능을 사용하여 구의 종단 속도를 예측합니다.
물체 무게가 주변 유체로 인한 부력 및 항력과 균형을 이루면 떨어지는 물체는 종단 속도에 도달합니다.
W = Fb + D
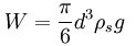
W = 물체 무게
Fb = 부력으로 인한 힘
D = 항력
구의 경우 위 방정식의 세 가지 수량은 다음과 같습니다.
결과 종단 속도는 다음과 같습니다.
여기에서
= 유체 밀도
s = 솔리드 밀도
= 구 투영 영역
형상 및 경계 조건
모든 치수는 미터 단위로 나타냅니다.
모형은 축대칭으로 해석되었습니다.
결과
| 벤치마크 | 2016: 빌드 20150209 | 오류 비율 | 2017: 빌드 20160302 | 오류 비율 |
| Vt (m/s) = 6.469 | Vt (m/s) = 6.149 | 4.94 | Vt(m/s) = 6.085 | 5.942 |