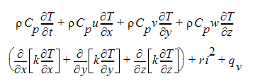
옴 또는 주울 열을 고려해야 하는 경우 비압축성 흐름에 다음 에너지 방정식이 적용됩니다.
여기서 i는 전류 밀도의 크기이고 r은 전기 저항, 재료 특성입니다. 이 방정식을 사용할 경우 옴 항 ri2의 전류를 결정하는 방정식도 구해야 합니다. 여기서는 다음 전위 방정식을 사용합니다.
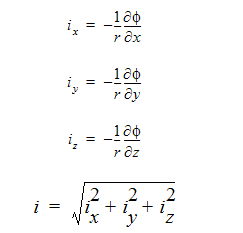
여기서 전위이고 전류는 다음을 사용하여 구합니다.
이러한 방정식에서 사용되는 변수는 아래 테이블에 정의되어 있습니다.
| 변수 | 설명(샘플 단위 - SI 시스템 ) |
| Cp | 상수 압력 비열(J/kg-K) |
| i | 전기 전류 밀도(amps/m2) |
| k | 열 전도율(W/m-K) |
| qv | 체적 열 소스(W/m3) |
| r | 전기 저항(Ohm-m) |
| T | 온도(K) |
| t | 시간(s) |
| u | x 방향으로의 속도 구성요소(m/s) |
| v | y 방향으로의 속도 구성요소(m/s) |
| w | z 방향으로의 속도 구성요소(m/s) |
|
밀도(kg/m3) |
|
전위(볼트) |
에너지 방정식의 경계 조건에는 외부 소스에 대해 일반적으로 지정된 온도, 필름 계수, 열 플럭스 또는 복사가 포함됩니다. 전위 방정식의 경계 조건에는 지정된 전압 또는 지정된 전류가 포함됩니다.