일반 스칼라 전송 방정식

다음 방정식은 비압축성 유체를 통과하는 수동 스칼라의 전송을 설명합니다.

이 방정식에서 변수는 다음 표에 정의되어 있습니다.

변수 설명
D 확산 계수(길이2/초)
f 수동 스칼라
t 시간(초)
u x 방향의 속도 구성요소(길이/초)
v y 방향의 속도 구성요소(길이/초)
w z 방향의 속도 구성요소(길이/초)

Autodesk® CFD에서 종류 확산 계수(D)를 해석 > 고급 대화상자에 입력합니다. 확산 계수 단위는 길이의 제곱을 시간으로 나눈 것입니다(예: m2/초).

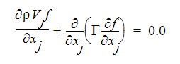
난류 흐름에서 위의 방정식은 시간 평균으로, 스칼라 변수를 평균값 및 변동 값의 중첩으로 나타낼 수 있다고 가정합니다. 여기서 변동은 평균값에 대한 것입니다. 예를 들어 스칼라 변수는 다음과 같이 작성할 수 있습니다.

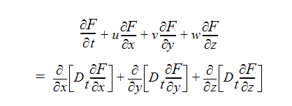
여기서 F는 평균 스칼라 값이고 f""는 이 평균값에 대한 변동입니다. 이 표현은 지배 방정식으로 대체되고, 시간이 흐름에 따라 방정식에 대한 평균이 계산됩니다. 대문자가 평균값을 나타내고 소문자가 변동 값을 나타내는 표기법을 사용하여 평균을 구하는 난류 스칼라 방정식을 다음과 같이 작성할 수 있습니다.

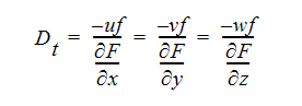
이 평균화 프로세스는 스칼라 방정식에 추가 항 uf, vfwf를 생성합니다. 이러한 항은 비선형 관성 또는 이류 조건에서 구한 평균과 변동 수량을 조합한 것입니다.

이제 이러한 추가 항을 "모델링"할 메서드를 찾아야 합니다. 즉, 이러한 항을 이전에는 알 수 없었던 평균값에 다시 연결합니다. 0번째 마감 레벨에서 추가 항은 다시 종속 변수 F에 연결됩니다.

운동량 방정식에 대해 마감과 동일한 레벨을 사용하여 Eddy 확산 계수를 정의하는 Boussinesq 근사를 적용합니다.

주: 이 정의는 난류가 등방성임을 의미합니다.

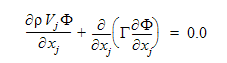
이러한 정의를 평균 스칼라 방정식에 사용하는 경우 결과는 다음과 같습니다.

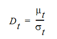
이 경우 Eddy 확산 계수 Dt만 결정해야 합니다.

Eddy 확산 계수는 Eddy 점도 및 난류 Schmidt 번호 를 사용하여 계산됩니다.

난류 Schmidt 번호는 일반적으로 1.0이 됩니다.

경계 조건

스칼라 방정식에 적용해야 하는 조건에는 입구, 출구, 슬립이 발생하지 않는 벽, 대칭 선, 슬립 벽 및 주기적 경계의 6가지 유형의 경계가 있습니다. 입구의 경우 값이 0이더라도 스칼라 값을 지정해야 합니다. 출구, 대칭 선 슬립 벽 및 슬립이 발생하지 않는 벽에서 스칼라 방정식은 경계에 수직인 제로(0) 그라데이션의 자연 경계 조건을 사용합니다. 주기적 경계에서 한 경계의 스칼라는 다른 주기적 경계의 해당 점에 적용되거나 해당 점으로 변환됩니다.

일반 스칼라를 사용하여 연소 시뮬레이션

스칼라 전송 방정식을 사용하여 연소를 대략적으로 시뮬레이션할 수 있습니다. 연소 진행 속도를 제한할 수 있는 다음과 같은 세 가지 프로세스가 있습니다.

  1. 매크로 혼합 - 연료 및 산화제의 큰 Eddy가 대류성 및 확산성 전송 메커니즘의 작동에 따라 결합하거나 상호 작용합니다.
  2. 마이크로 혼합 - 연료의 분자가 산화제의 분자와 접촉합니다.
  3. 반응 속도론 - 산화제에 반응하는 연료의 실제 화학 공정은 여러 중간 종류를 포함한 일련의 화학 반응에 따라 제어됩니다. 이러한 반응 속도는 존재하는 종류와 로컬 온도에 의해 결정됩니다.

이 중 속도가 가장 느린 프로세스가 주로 연소 프로세스의 진행률을 결정합니다. 속도가 1 또는 2로 구속된 연소 프로세스를 "혼합 제한"이라고 합니다. 이 경우에는 "혼합되면 연소된다"고 가정합니다. 이와 같은 혼합 제한의 경우 연료 및 산화제가 화학량론 비율에서 항상 반응하여 연소로 인한 주요 부산물을 형성한다고 가정합니다. 중간 종류는 무시됩니다. 예를 들어 일반 연료에 대한 화학량론 반응은 다음과 같은 방정식으로 작성할 수 있습니다.

여기서 는 1 단위 질량의 연료를 태우는 데 필요한 화학량론 계수입니다.

연료 및 산화제는 다음과 같이 단일 스칼라 변수로 결합할 수 있습니다.

이 스칼라 변수는 안정 상태 계산에서(소스 또는 싱크 항 없음) 대류 및 확산 이동 균형과 같은 보존량이 됩니다.

에 대한 전송 방정식은 다음과 같이 동일한 교환 계수(확산 계수)를 가정하여 연료 종류 전송 방정식에서 산화제 종류 전송 방정식을 곱한 것을 빼서 파생됩니다.

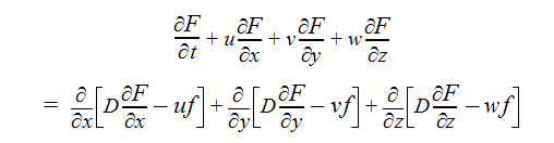
이 방정식에서 첫 번째 항은 대류항이고 두 번째 항은 확산성 항입니다. 새로 정의된 이 스칼라 변수를 사용하여 혼합 분율을 다음과 같이 정의할 수 있습니다.

혼합 분율의 이 정의를 사용하는 경우 f 값은 연료 스트림에서 1.0이고, 산화제 스트림에서는 0.0입니다.

화학량론 조건에서 f 값은 fst로 표시됩니다.

f 값의 선형 조합이므로 f는 또한 보존량입니다. 따라서 f에 대한 전송 방정식을 다음과 같이 작성할 수 있습니다.

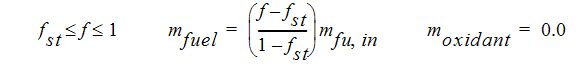
연료 및 산화제가 만났을 때 화학적 평형을 가정하면 연료 및 산화제의 질량 분율은 다음과 같이 계산할 수 있습니다.

제품의 질량 분율은 이러한 두 방정식의 나머지 부분에서 결정할 수 있습니다.

주: 일반 스칼라 변수가 결과 작업에서 플롯될 때 f = fst의 윤곽선 값이 불꽃 모양과 일치합니다.