전체 시뮬레이션을 살펴보았을 때 응용프로그램이 사용자에게 필요한 결과를 제공하지 못하는 경우가 있었습니까? Autodesk® CFD를 사용하면 표준 CFD 결과 이외의 수량을 해석하고 시각화하기 위해 자체 사용자 결과 수량을 설정할 수 있습니다. 수량을 사용하여 시뮬레이션 결과를 해석하고 나타내는 방법을 사용자화할 수 있습니다.
설정
시뮬레이션
사용자 결과 수량을 클릭하여 대화상자를 엽니다.

결과로 작업 중일 때 이 대화상자를 열 수도 있습니다. 결과
전역
사용자 결과 수량를 클릭합니다.

사용자 결과 수량 대화상자에서 수량을 추가, 편집 및 제거할 수 있습니다. 다양한 함수, 변수 및 연산자를 사용하여 해석에 적합한 방정식을 작성할 수 있습니다.
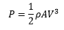
이제 날개 반지름이 0.75m인 풍차를 모델링하는 경우를 가정해 보겠습니다. 풍차에 사용할 수 있는 이론적 풍력을 추적하는 수량을 작성하려고 합니다. 이론적으로 이 풍력은 다음과 같이 나타낼 수 있습니다.

여기서 P는 전력(W)이고, ρ은 공기 밀도(kg/m3)이고, A는 면적(날 회전에 의해 만들어진 원의 m2)이고 V는 바람 속도(m/s)입니다.
다음 그림과 같이 사용자 결과 수량 대화상자에 해당 값을 입력했습니다.

대화상자의 중요 사항은 다음과 같습니다.

