Konstrukcje objętościowe w programie Robot są modelowane przy użyciu elementów skończonych objętościowych izoparametrycznych z aproksymacją pola przemieszczeń funkcjami kształtu 1. rzędu.
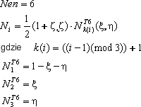
Dostępne są następujące typy elementów: prostopadłościan B8, klin W6 oraz czworościan T4. Funkcje kształtu wraz z numeracja węzłów określoną na elementach wzorcowych 3D są podane w poniższej tabeli.
|
Element wzorcowy |
Funkcje kształtu |
|---|---|
|
|
|
|
|
|
Opis geometrii elementu, wyznaczenie odkształceń, naprężeń, macierzy sztywności i mas oraz wektora sił elementowych dla wszystkich wymienionych typów elementów przebiega w następujący sposób:
Geometria elementu
Geometria elementu jest określona poprzez odwzorowanie izoparametryczne elementu wzorcowego na element dowolny

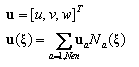
Pole przemieszczeń wewnątrz elementu
Wyznaczenie odkształceń
gdzie macierze B są wyznaczane jako:
Pochodne funkcji kształtu występujące w elementach macierzy B wyznaczane są jako:

Naprężenia (sprężystość liniowa)
Gdzie e o są odkształceniami narzuconymi (wpływy termiczne, skurczowe), a D jest macierzą konstytutywną; macierz konstytutywna D (materiał liniowo—sprężysty, izotropowy) pokazano poniżej: