Model paraboliczny (wg EC)

Parametry modelu parabolicznego (wg EC) określone dla dodatnich argumentów x>0 (podawana jest również wartość pochodnej niezbędnej do określenia sztywności):

Wielkości pomocnicze:

Funkcja:

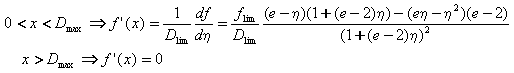
Pochodna (sztywność):

Ograniczenia: