O comprimento da correia é determinado no sistema efetivo ou de referência. Por este motivo, os diâmetros de referência e efetivos são calculados primeiro para cada polia. A trajetória da correia é baseada na posição da polia individual. A posição da polia deslizante é ajustada para cumprir os critérios regulares de comprimento de correia. O cálculo utiliza a solução de iteração para localizar a posição adequada da polia deslizante que mais se aproxima da posição desejada (ou da atual).
Diâmetros das polias
|
|
Polia estriada |
|
D e = D w + 2 h w |
|
|
D p = D w + 2 a |
|
|
D d = D w |
|
|
|
Polia plana em sentido horário |
|
D e = D + 2 h |
|
|
D p = D + 2 (h - h w + a) |
|
|
D d = D + 2(h - h w ) |
|
|
|
Polia plana em sentido anti-horário |
|
D e = D |
|
|
D p = D + 2 (h w - a) |
|
|
D d = D + 2 h w |
Exemplo de transmissão de potência com 2 polias
Este exemplo utiliza o sistema de referência.
Arco de contato
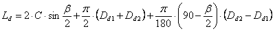
Comprimento de correia de referência
Distância ao centro
Recomenda-se utilizar a fórmula a seguir para calcular a distância ao centro de uma nova transmissão
0.7 (D d1 + D d2 ) ≤ C ≤ 2(D d1 + D d2 )
Significado das variáveis utilizadas:
|
D W |
Diâmetro nominal (de referência ou efetivo) [m] |
|
D e |
Diâmetro efetivo (externo) de polia [m] |
|
h w |
Altura nominal (para sistema efetivo h w = 0) [m] |
|
a |
Deslocamento da linha de passo (no sistema efetivo é um valor negativo) [m] |
|
D |
Diâmetro nominal e externo da polia plana [m] |
|
h |
Altura da correia [m] |
|
D d |
Diâmetro de referência da polia [m] |
|
C |
Distância ao centro [m] |
| β |
Arco de contato [gr] |
|
L d |
Comprimento de referência de correia [m] |