Fórmulas do cubo separado para o cálculo em unidades inglesas

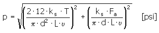
Pressão de contato

Comprimento mínimo do cubo

Valores recomendados : L = (0,6 - 3) d

Força suportada por um parafuso

Verificação de resistência

p p A

onde:

 

F a

força axial [libras]

 

T

torque [libras/pés]

 

d

diâmetro do eixo [pol]

 

p

pressão de contato em uma junta [psi]

 

p A

pressão suportada [psi]

 

L

comprimento do cubo [pol]

  υ

fator de fixação υ = 0,008 a 0,1 [-]

 

k s

segurança de deslizamento [-]

 

F

força suportada por um parafuso [libras]

 

F s

força suportada por todos os parafusos [libras]

 

i

número total de parafusos [-]