Формулы для расчета характеристик составных ступиц в британских единицах измерения

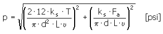
Контактное давление

Минимальная длина втулки

Рекомендуемые значения: L = (0,6 - 3) d

Усилие, приходящееся на один болт

Проверка прочности

p p A

Где:

 

F a

осевая сила [фунт]

 

T

крутящий момент [фн фт]

 

d

диаметр вала [д]

 

p

контактное давление в соединении [фунт/кв.дюйм]

 

p A

допустимое давление [фунт/кв.дюйм]

 

L

длина втулки [д]

  υ

зажимной коэффициент υ = от 0,008 до 0,1 [-]

 

k s

запас прочности при смещении [-]

 

F

усилие, приходящееся на один болт [фунт]

 

F s

усилие, приходящееся на все болты [фунт]

 

i

общее количество болтов [-]