Теория вантовы элементов в Robot основана на теории нитей с малыми значениями провисания. Согласно этой теории жесткость ванты является неявной функцией следующих параметров: жесткость ванты на растяжение(E*F), натяжение ванты, перемещение точек крепления ванты, поперечная нагрузки в обоих направлениях (p y , p z ).
Из-за нелинейности элемента - ванты, при решении задачи, используются итерационные методы расчета конструкций.
Возможности использования вантовых элементов системе Robot:
Ограничения:
Нагрузки на ванту.
К вантовым элементам могут быть приложены следующие нагрузки:
Следующие типы нагрузок нельзя приложить к вантовому элементу:
СИНТАКСИС (ввод данных пользователем в текстовый файл)
PROperties
(<список элементов>) CABles AX= <площадь сечения> (E= <модуль Юнга>)
(RO = <плотность>) [STRess = <s> | FORce = <h> | длина = <l>
| [ DILatation = <d> (RELative) ]]
где
STRess - нормальное напряжение предварительного натяжения (вычисленное относительно хорды);
FORce - сила предварительного натяжения (вычисленная относительно хорды);
LENgth - начальная длина ванты;
DILatation - разность между начальной длиной ванты и расстоянием между опорными узлами (если эта величина положительна – длина ванты больше расстояния между узлами, если отрицательна, то длина ванты меньше расстояния между узлами);
RELative DILatation - отношение разности между длиной ненагруженной ванты и расстоянием между узлами к расстоянию между узлами; отношение положительно, если длина ванты больше, чем расстояние между узлами, в противном случае оно отрицательно.
Программа Robot включает анализ стадии монтажа конструкции. Этот анализ рекомендуется использовать как первый вариант нагружения. Синтаксис этого варианта нагружения представлен ниже:
CASe;
ASSembly;
[описание нагрузки]
Для данного варианта нагружения:
STRess = s0 (начальное напряжение в ванте);
FORce = t0 (начальная сила натяжения ванты);
В процессе последующего расчета конструкции на другие виды воздействия при рассмотрении равновесия конструкции принимаются во внимание усилия, возникающие в ее элементах в монтажной стадии. Полученные на монтажной стадии расчета перемещения используются как исходные для дальнейшего расчета. Силы предварительного натяжения изменяются. Это означает, что после монтажа ванта надежно закреплена.
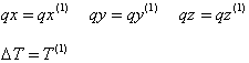
На этой стадии уравнение (1) описывает переход от:
q0x = q0y = q0z = 0 (нагрузка отсутствует);
H0 = 0 (натяжение ванты отсутствует);
T0 = 0 (нулевая температура)
и длина которого равна L1=:
|
1. |
long, если (long ≠ 0), то при определении ванты задается значение начальной длины ванты равное длина; |
|
2. |
[расстоянию (A, B) + начальное удлинение], когда начальное удлинение задано в абсолютной системе, то при определении ванты задается величина абсолютной начальной деформации - DILatation; |
|
3. |
[расстоянию (A, B)*(1+начальное удлинение)], когда начальное удлинение задано в относительной системе, в этом случае при определении ванты задается значение относительной начальной деформации - RELative DILatation; |
|
4. |
[расстоянию (A, B)], когда (начальное удлинение = 0) и (long = 0) - при отсутствии ключевого слова, например: LENgth, DILatation или RELative DILatation в определении ванты или одого из следующих ключевых слов: FORce или STRes. |
к

L2 – расстояние между опорными узлами A и B деформированной ванты:
L2 = расстояние (A + U A , B + U B ),
где
U А - смещение от точки A,
U B - смещение от точки B.
В первом монтажном варианте нагружения возможны различные ситуации:
Из уравнения (1):
Длина находится как расстояние между начальной и конечной точками ванты.
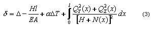
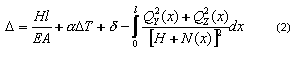
Из уравнения (2) можно определить начальное удлинение ванты d, соответствующее известной требуемой силе H:
в результате решения уравнения (4) определяется сила H:
и затем путем решения итерационным методом системы уравнений будет найдено окончательное значение монтажного усилия:
Оно равно:
.
L2 = длина (A, B),
то, решая уравнение (4), можно определить начальное значение силы, которое необходимо для заанкеривания ванты в его опорных узлах.
Полученные результаты расчета для вантовых элементов аналогичны результатам, получаемым для элемента стержня, однако, некоторые различия остаются. Эти различия состоят из:
Такого рода результаты можно использовать при проектировании монтажной стадии конструкции. Они могут быть получены из модуля Результаты выбором команды Напряжения > Параметры > Результаты для вантовых элементов на монтажной стадии.
где
N - усилие, действующее по касательной к оси ванты;
FX, FY, FZ - компоненты силы N в направлении осей локальной системы координат.
Как только после монтажной стадии расчета переходят к следующему этапу нагружения (i), поведение ванты определяется путем решения уравнения (1). Итерационный процесс решения этого уравнения реализуется при следующих предположениях:
нагрузка из первого этапа расчета автоматически добавляется к нагрузке (i-го) этапа.
Сила натяжения H рассматривается как неизвестная константа.
См. также: