Минимальная толщина

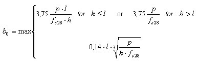
Минимальная толщина балки-стенки должна быть равной:

Если балка-стенка не достаточно жесткая в продольном направлении в верхней и нижней зоне (элементы жесткости опорного участка), то первое условие должно дополнительно охватывает проверку на следующее соотношение:

(p/h*fc28).