Heat Sinks

View more information about the heat sink material correlations and governing equations here.

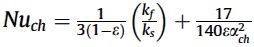
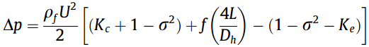
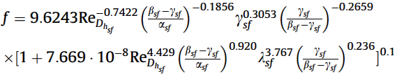
Micro Channel

Total thermal resistance:

Pressure drop:

Contraction and expansion coefficients:

Nusselt number:

Friction factor correlation:

The correlations for micro channel configurations are subject to geometric and operating conditions:

Pin-Fin

Total thermal resistance:

Pressure drop:

Contraction and expansion coefficients:

Nusselt number:

Friction factor correlation for inline:

Friction factor correlation for staggered:

The correlations for the pin-fin configurations are subject to geometric and operating conditions:

Offset Strip

Total thermal resistance:

Pressure drop:

Contraction and expansion coefficients:

Nusselt number:

Friction factor correlation:

The correlations for the offset strip configurations apply to all gases and most liquids with moderate Pr.

Variables and nomenclature

The following common variables are used in the heat sink correlations:

Nomenclature

a is the offset strip fin length (m)

b is the offset strip fin thickness (m)

cpf is the specific heat (J/kg K)

d is the diameter (m)

Dh is the hydraulic diameter (m)

f is the friction factor

H is the fin height (m)

k is the thermal conductivity (W/m K)

Kc is the coefficient of abrupt contraction

Ke is the coefficient of abrupt expansion

L is the length of heat sink in flow direction, length of heated area (m)

Lc is the characteristic length (m)

N is the number of fins

NT is the number of fins in lateral direction

NL is the number of fins in flow direction

Nuch is the Nusselt number based on channel width and height

Nud is the Nusselt number based on diameter d

NuDh is the Nusselt number based on hydraulic diameter Dh

NuL is the Nusselt number based on length L

P is the power (W)

Pr is the Prandtl number

R is the thermal resistance (K/W)

Red is the Reynolds number based on diameter d

ReDh is the Reynolds number based on hydraulic diameter Dh

ReL is the Reynolds number based on length L

ST is the circular pin fin lateral fin spacing (m)

SL is the circular pin fin streamwise fin spacing (m)

s is the offset strip fin lateral fin spacing (m)

t is the base thickness (m)

U is the velocity (m/s)

wch is the micro-channel width (m)

ww is the micro-channel fin thickness (m)

W is the width of heat sink (m)

Greek symbols

α is the fin height to fin characteristic length Lc ratio

β is the lateral fin spacing to fin characteristic length Lc ratio

Δp is the pressure drop (Pa)

ε is the porosity defined as wch/(wch + ww)

ν f is the fin efficiency

ν o is the overall heat sink efficiency

γ sf is the offset strip fin width to fin length ratio defined as b/a

λ cp is the streamwise pitch defined as SL/dcp

μ is the viscosity (kg/m s)

ρ is the density (kg/m3)

σ is the unit frontal-area ratio

Subscripts

ch denotes channel

cp denotes circular pin-fin

f denotes fluid

s denotes solid

sf denotes offset strip fin

tot denotes total

Reference

For further details, including optimization and comparative studies, reference the International Journal of Heat and Mass Transfer. (20 May 2009). Multi-objective thermal design optimization and comparative analysis of electronics cooling technologies. (Publication 52 (2009) 4317-4326). Sidy Ndao, Yaov Peles, Michael K. Jensen.