粘性材料的损坏本构关系

查看用于脱层的本构关系。

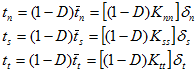
显示在面力/分离本构关系中的刚度分量 (Kij) 假定为损坏变量 D 的函数。为简便起见,我们将采用以下线性形式的损坏本构关系。

在上面的方程中,tn、ts、tt (无上横线)表示损坏的粘性材料中的实际面力,而 表示使用原始未损坏刚度与当前相对位移计算得出的面力。量 表示单元坐标系 n、s 和 t 方向上粘性单元上表面和下表面之间的相对位移。

如果 < 0(压缩面力作用下的粘性材料),则 tn 假定为不受损坏 D 的影响,即,我们使用

有趣的是,请注意如果粘性材料具有完全耦合并且粘性单元受压缩约束,则材料刚度基体将不再是对称的。

如果我们继续假定法线面力和剪切面力不具有耦合,则损坏的本构关系的表达式可简化为

< 0 时,我们使用