Hashin 准则

Hashin 准则 [16] 标识的四种不同的失效模式适用于复合材料。

四种模式为:拉伸纤维失效、压缩纤维失效、拉伸基体失效、压缩基体失效。

= 纵向拉伸失效下的值 σ11

= 纵向压缩失效下的值 σ11

= 横向拉伸失效下的值 σ22

= 横向压缩失效下的值 σ22

= 纵向剪切失效下 σ12 的绝对值

= 横向剪切失效下 σ23 的绝对值

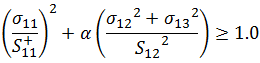
如果 σ11 ≥ 0,则拉伸纤维失效准则为:

如果 σ11 < 0,则压缩纤维失效准则为:

如果 σ22 + σ33 ≥ 0,则拉伸基体失效准则为:

如果 σ22 + σ33 < 0,则压缩基体失效准则为:

注: Hashin 方程需要用户指定的参数:α。
α

用户指定的系数,用于确定纵向剪切应力对纤维拉伸失效的影响。允许范围为 0.0 ≤ α ≤ 1.0,默认值为 α=0。