基体成分失效准则(织物复合材料)

查看用于织物复合材料的基体失效准则。

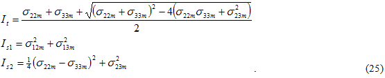
将具有十个系数的准则应用到低于最佳特征化强度的织物复合基体材料的做法不切实际。因此,在织物复合材料中使用的基体失效准则仅包含三个可调整参数,这在使用编织材料的三个已测量弯曲强度时可直接拟合。与单向复合材料一样,将使用不变数量。我们选择不变量 It、Is1 和 Is2,它们分别描述垂直于纤维方向的最大拉伸应力、最大纵向剪切应力以及最大横向剪切应力。我们的准则仅仅是这些不变量的二次组合。

其中,

{} 表示 Macaulay 括号。如果括号内的数量为负值,则该值为零,否则该值即为括号内的数量。这可确保拉伸应力和剪切应力会组合以生成失效,但压缩应力不会减少剪切强度。

与单向复合材料一样,当失效确定要发生时,基体特性将以各向同性的方式降级。