Theoretical basis for time history analysis

Time history analysis obtains the structure reaction at selected time points for a defined lasting interaction. This is contrary to other available analysis types that show the structure reaction in the form of amplitudes obtained for a single moment.

The time history analysis consists in finding a solution of the following equation of the time variable "t":

M * a(t) + C * v(t) + K * d(t) = F(t)

where the following initial values are known: d(0)=d0 and v(0)=v0,

where:

M - mass matrix.

K - stiffness matrix.

C = a * M + b * K - damping matrix.

α - user defined coefficient.

β - user defined coefficient.

d - shift vector.

v - velocity vector.

a - acceleration vector.

F - load vector.

All expressions containing the (t) parameter are time-dependent.

The Newmark method or the method of decomposition is used to solve the above-presented task. The Newmark method belongs to the group of algorithms that are unconditionally convergent for appropriately defined method parameters. It uses the following formulas for calculating displacements and velocity in the next step of integration.

Parameters β and γ control the convergence and precision of the results obtained by means of the method.

The unconditional convergence is assured for 0.5 ≤ γ 2≤ * b.

The values b = 0.25 and g = 0.5 are adopted. Modification of these values is possible, but only if the linear time history analysis with activated Newmark or Newmark (acceleration) method is used. These values (TransBeta and TransGamma) can be changed in the *.COV preference file saved in the CFGUSR folder. To perform calculations for different values of the parameters b and g, it is necessary to change the parameters TransBeta and TransGamma in the *.COV file, and to load that preference file.

It is advisable to use the Newmark method for short time histories when a concentrated load is applied to the structure. Such loads will induce a movement that will require a large number of eigenmodes to be described. Therefore, the Newmark method will be more efficacious than the modal decomposition method for this type of task. The Newmark method takes advantage of the initial equations without any simplifications. The precision of the obtained results depends on the precision of numerical integration of time equations, and it is defined by the value of the time step for the selected parameters α, β. The method does not require the eigenproblem to be solved to obtain the eigenvalues and eigenvectors. For long time histories, however, the method is very time-consuming. In the case of such tasks, calculations have to be performed for a large number of time steps with the required precision.

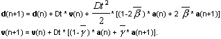
The Hilber-Hughes-Taylor (HHT) method implements numerical damping of higher frequencies without the loss of solution accuracy. A discrete form of the time history equation is as follows.

where:

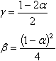
-1/3 ≤ α ≤ 0

Assuming:

an unconditionally stable scheme of integration with second-order accuracy is obtained.

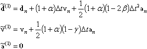
For the acceleration mode, trial values in n+1 step of integration are determined as follows.

The HHT method is a very efficient algorithm for numerical integration that allows removing the unfavorable impact of high frequencies on the quality of a solution.

The method of modal decomposition is a simple method of obtaining the required solution. It is based on the representation of structure movement as a superposition of the movement of uncoupled forms. Therefore, the method requires eigenvalues and eigenvectors to be determined. Lanczos method is recommended for this purpose, followed by Sturm verification. The method of modal decomposition takes advantage of reduced uncoupled equations.

The equation (without damping) may take the following form:

where

,

Ng - number of "load groups", φk(t) - time history for the k-th load group

(2)

By inserting equation (2) into equation (1) and recognizing modal damping and the conditions of orthogonality , one obtains the following equation.

where , ξ - modal damping parameters, ωi - frequency for the i-th form.

Each of the equations is solved numerically with the precision of the second order. The resultant displacement vector X(t) for the defined time points t* = t1, t2, ... is obtained after introducing qi(t*), i=1,2,…,m into equations (2).

It is worth noting the differences between the available analysis types described in this topic. Moving load analysis differs from Time History Analysis in that it does not recognize dynamic effects. The difference between harmonic analysis and Time History Analysis consists in that it determines the structure reaction exclusively in the form of amplitudes, and not in that of a time function.

See also:

Non-linear time history analysis