假设:具有移动式基座的柔性系统包含的主体质量为 225 kg、支撑结构刚度为 35000 N/m,阻尼因子为 0.188。基座以正弦曲线振动,系统固有频率下振幅为 0.280 cm。
 
 | 
 物理装配件。 基座以结构固有率频振动。  | 
 
 | 
 等效表示。 k = 35000 N/m ζ = 0.188 x 和 y 是在振动教科书中用于测量质量和基座的绝对运动的典型项。小写斜体项 x 和 y 表示位置与时间的函数。  | 
查找:
如果不想对整个支撑结构进行详细建模,可使用桁架单元表示。(请记住,桁架单元的刚度 k 为 A*E/L。)质量可以通过添加到桁架端点的集中质量表示。移动基座将通过固定边界条件表示,基础运动或基础加速度载荷将仿真基座的振动。带质量的桁架单元端点将有一个边界条件,用于限制质量仅在轴向振动。
步骤
构建模型:
“绘制”
“直线”添加一条直线来表示支撑结构。验证“作为构造体使用”复选框处于禁用状态。由于桁架单元是三维的,因此可采用任意方向,但出于一致性考虑,请使用上一图像中的方向。单元可采用任意长度(只要组合 A*E/L 得到的刚度值合适),请选择长度 2 cm。直线的起点为 (0,0,0),将下一个端点置于 (0,0,2) 处。关闭对话框。 
“浏览”
“封闭”封闭整个模型。 
“形状”
“点或矩形”和“选择”
“选择”
“顶点”),单击鼠标右键,然后选择“添加”
“节点边界条件”。单击“无平动”在 X、Y 和 Z 平动(Tx、Ty、Tz)方向上固定节点。单击“确定”以应用边界条件。(由于桁架单元没有转动自由度,因此“固定”边界条件在此情况中也适用)。 
“形状”
“点或矩形”和“选择”
“选择”
“顶点”),单击鼠标右键,然后选择“添加”
“节点边界条件”。弹簧可以在轴向 (Z) 上自由移动,但不可以偏离该轴。激活 Tx 和 Ty 的复选框。单击“确定”以应用边界条件。 
“节点集中质量”。请确保“质量单位”选项处于选中状态,并输入值 225 作为“X 方向”质量(单位为千克)。(应选中“均布”复选框以使质量在所有三个方向上平等作用。)单击“确定”应用集中质量。 
“形状”
“点 或矩形”和“选择”
“选择”
“直线”),然后将其分割为四个部分(“绘制”
“修改”
“分割”
 4
“确定”)。这将创建三个新节点以供求解器使用,接下来需要约束这些新节点使其仅在轴向移动。在顶点周围拖出一个框将其选中(“选择”
“形状”
“矩形”和“选择”
“选择”
“节点”),单击鼠标右键,然后选择“添加”
“节点边界条件”。请注意,对话框窗口的标题栏指示正在创建三个节点边界条件对象。选中 Tx 和 Ty 复选框。单击“确定”以应用边界条件。 
“模型设置”
“参数”,然后为“要计算的频率/模式数”输入 1。单击“确定”。(由于创建的模型具有 1 个自由度,因此仅需计算一个频率。) 步骤 1:执行固有频率分析
“分析”
“运行仿真”命令运行分析。分析完成后,该模型将显示在“结果”环境中。请记住固有频率为 1.985 个周期/秒。 步骤 2:执行频率响应分析
“更改”
“类型”
“线性”
“频率响应”)。当系统提示将模型复制到新设计工况时,请单击“是”。固有频率结果将包含在“设计工况 1”中,频率响应结果将包含在“设计工况 2”中,可通过选择设计工况快速访问这两个结果。 
“模型设置”
“参数”,然后单击“分析设置”。(“输出控件”下的选项仅用于获取其他文本类输出,因此通常不需要激活这些选项。)在四个选项卡中输入载荷的完整定义。各个选项卡中的输入可总结如下: 
“分析”
“运行仿真”命令运行分析。分析完成后,该模型将显示在“结果”环境中。 
“位移”
Z 命令。 
“具体分析”
“响应类型”下拉菜单查看每种类型。由于在此示例中相内分量几乎为零,因此相外和 SRSS 相同。质量相对于基座最多移动 0.745 cm。 Relative displacement z = x - y Absolute displacement x = z + y The motion of the base is given as y = Y*sin(ωt) and the relative displacement z = Z*sin(ωt-φ), where φ is the phase angle. Thus, x = Z*sin(ωt-φ) + Y*sin(ωt)
在“频率响应”总结文件(可通过“报告”环境访问)中,计算得出的相位角应为 90 度(请参见下文),因此
x = Z*sin(ωt-φ) + Y*sin(ωt) = Z*sin(ωt-90) + Y*sin(ωt) = -Z*cos(ωt) + Y*sin(ωt)
由于存在相位差,因此 x 的最大位移(表示为 X)不等于 Y + Z。但是,可以看出最后一个方程的替换形式为 x = X*sin(ωt + φ),其中值 X = sqrt(Z2 + Y2),φ 为相位角。因此,当 Z = 0.745 cm 且 Y = 0.280 cm 时,质量的绝对位移为 0.796 cm。
“频率响应”总结文件中的摘录:
START OF LOAD 1 Applied frequency case # 1 (Applied frequency = 1.985E+00 Hx) Mode No. Phase Angel (Deg.) Amplitude 1 8.9934E+01 1.1172E+00
步骤 3:执行“时间历史记录”分析:
“环境”
“FEA 编辑器”)。 
“更改”
“类型”
“线性”
“瞬态应力(模态叠加)”)。当系统提示将模型复制到新设计工况时,请单击“是”。因此,瞬态应力结果将包含在“设计工况 3”中。 
“模型设置”
“参数”
)。 
“分析”
“运行仿真”。 
“位移”
 Z)。 
“形状”
“点或矩形”和“选择”
“选择”
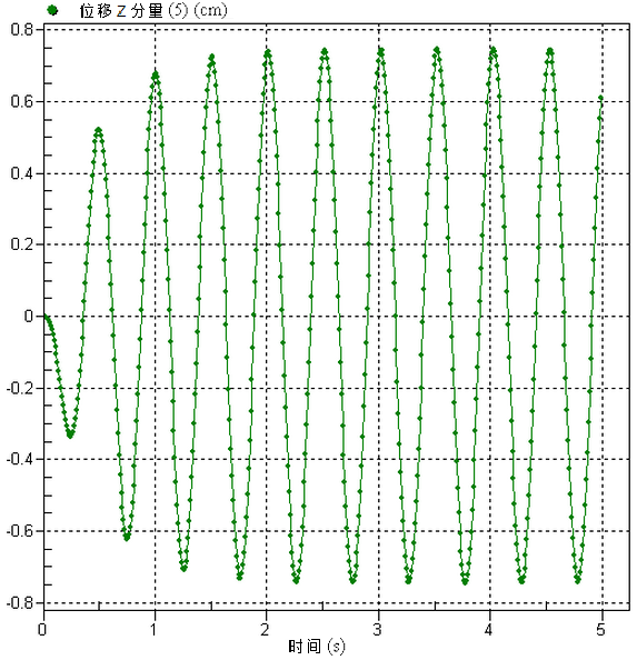
“节点”,然后单击模型顶部的节点)。单击鼠标右键,然后选择“图形表示值”。此时将另外创建一个带图形的演示窗口。结果应类似于图 2。在大约 5 个周期后达到准稳态条件。直观结果显示相对于支架的质量预期位移大约为 0.75 cm。 
“荷载工况选项”
“载荷工况”
“设置”并输入值 400,然后单击“确定”。前进或后退几个时间步(“结果等值线”
“荷载工况选项”
“下一个”或“上一个”),直到找到具有最大位移的时间步。时间步 403 的位移为 0.742 cm。 
图 2:质量的位移图。
模型和结果存档 (ground motion.ach) 位于 Autodesk Simulation 安装目录的“模型”子文件夹中。
此示例可以使用许多振动教科书中的方法求解。此特定示例排列在《振动分析》(作者 Vierck, Robert K.,出版社 Harper & Row)第二版的第 129-130 页中的示例 4-9 之后。