位於左側的樞軸 - 保持中央造型 (分割的平面道路上的超高)

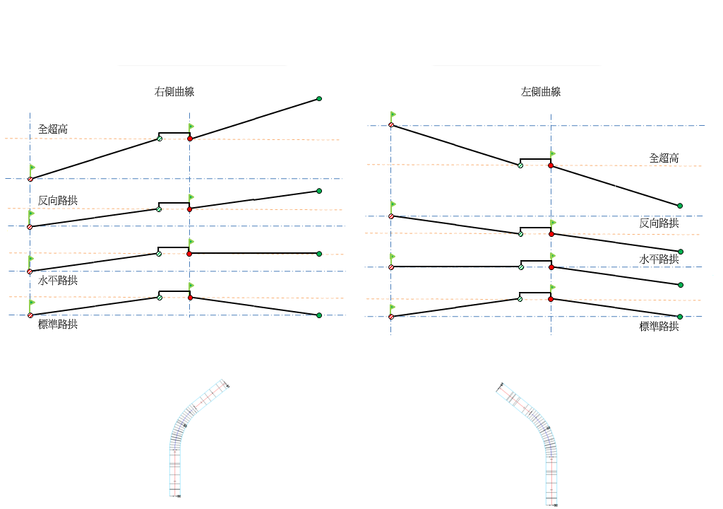
下圖描述了分割的平面道路的「左側」旋轉方式。

「保持中央造型」意味著當套用超高時,中央將會升高以容納超高。此選項會保持中央造型,而 樞軸點會升高或降低。

若要取得超高圖的說明,請參閱〈關於超高旋轉軸旋轉方式〉