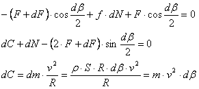
使用的一般方程式
|
|
|
|
其中 m 是皮帶的特定質量,定義為 m = S ρ |
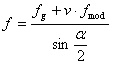
指定皮帶輪的已修改的摩擦係數
|
|
|
|
|
f = f g + v f mod |
驅動皮帶輪和皮帶的基本方程式
要傳輸的功率
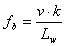
皮帶速度
皮帶屈曲頻率
有效拔模 (或有效拉力)
離心力
Fc = z m v 2
皮帶跨距中的張力
在以下方程式中,應用程式將先確定需要最大皮帶安裝張力以傳輸負載的最可疑的皮帶輪。然後,根據初始皮帶安裝拉力,相應地調整所有皮帶輪每個跨距內的皮帶拉力。
|
|
|
|
F 1i - F p P xi - F 2i = 0 |
|
|
|
|
|
|
最可疑皮帶輪要求是最大緊邊拉力
F 1max = max (F 1i )
在滿載狀態下驅動皮帶時,皮帶跨距 (每條皮帶) 內的總最大拉力由以下方程式決定
其中表示式「k 1 F 1max 」是為皮帶驅動中所有皮帶考慮的皮帶跨距中的實際最大拉力。用這種方式,重新計算個別跨距中所有相應的拉力以滿足以下條件:
F 1i - F P P xi - F 2i = 0
在滿載狀態下驅動皮帶時,每條皮帶輪的合成軸負載
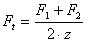
皮帶初始安裝張力和靜態拉力
可以透過拉力係數調整需要的皮帶初始安裝張力 (每條皮帶),然後按如下所示確定張力:
可為每個皮帶輪確定靜態拉力 F v 。該應用程式會按如下所示計算沿皮帶跨距中心線執行的拉力:
|
|
|
所用變數的意義:
| F | 切向力 [N] |
| β | 接觸弧 [deg] |
| α | 楔角 [deg] |
| C | 離心力 [N] |
| N | 法向力 [N] |
| m | 特定皮帶質量 [kg/m] |
| v | 皮帶速度 [m/s] |
| R | 皮帶輪半徑 [m] |
| S | 皮帶斷面區域 [m 2 ] |
| T | 作用於給定皮帶輪的扭矩 [Nm] |
| D p | 皮帶輪節圓直徑 [m] |
| k | 皮帶輪數 [-] |
| P | 要傳輸的功率 [N] |
| v | 皮帶速度 [m/s] |
| F c | 離心力 [N] |
| F 1 | 給定皮帶輪輸入時的皮帶跨距內的拉力 [-] |
| F 2 | 給定皮帶輪輸出時的皮帶跨距內的拉力 [-] |
| f | 給定皮帶輪的修改摩擦係數 [-] |
| P x | 給定皮帶輪的功率比 [-] |
| f g | 給定皮帶輪材料與皮帶的摩擦係數 [-] |
|
f mod |
摩擦修改的速度係數 [s/m] |
| Z | 皮帶數目 [-] |
| ρ | 皮帶密度 [kg/m3] |
| F t | 皮帶初始安裝拉力 [N] |
| F v | 給定皮帶輪的靜態拉力 [N] |
| k 1 | 皮帶拉力係數 [-] |