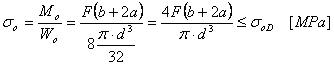
彎曲應力

桿中的壓力
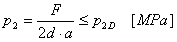
U 形夾中的壓力
剪切應力
其中:
|
F |
力 [N] |
|
|
σ 0 |
彎曲應力 [MPa] |
|
|
σ 0D |
容許的彎曲應力 [MPa] |
|
|
M 0 |
彎矩 [N mm] |
|
|
W 0 |
彎曲剖面係數 [mm 3 ] |
|
| τ |
剪切應力 [MPa] |
|
|
τ D |
允許的剪切應力 [MPa] |
|
|
d |
銷直徑 [mm] |
|
|
p 1 |
桿中的壓力 [MPa] |
|
|
p 2 |
U 形夾中的壓力 [MPa] |
|
|
p 1D |
桿中允許的壓力 [MPa] |
|
|
p 2D |
U 形夾中允許的壓力 [MPa] |
|
|
b |
桿寬度 [mm] |
|
|
a |
U 形夾臂寬 [mm] |