Aplikace AutoCAD Civil 3D může hodnoty vypočítat z geometrické definice výškového oblouku a z informací o vrcholu výškového polygonu a také z výšky objektu a oka.
Tyto hodnoty se odvozují z empirických rovnic a nevyužívají návrhovou rychlost.
U vrcholového výškového oblouku se používají vzdálenosti délky rozhledu a délky rozhledu pro zastavení, protože vrchol výškového oblouku může zakrýt výhled řidiče na vozovku nebo na jiný objekt.
U údolnicového oblouku se vzdálenosti délky rozhledu ani délky rozhledu pro zastavení nepoužívají, protože žádný vrchol oblouku, který by mohl zakrýt výhled řidiče na vozovku nebo na jiný objekt, neexistuje. Při dobré viditelnosti má řidič za denního světla na údolnicovém výškovém oblouku plný výhled na vozovku. V noci však může řidič dohlédnout pouze do vzdálenosti dosvitu předních světel vozidla. Při návrhu údolnicového výškového oblouku je možné použít viditelný dosvit předního světla.
Tyto vlastnosti můžete v aplikaci AutoCAD Civil 3D 2018 zobrazit pomocí editoru textových komponent. V prostoru nástrojů na kartě Nastavení rozbalte položku Profil
Styly popisků
Oblouk. Dvakrát klikněte na výchozí styl popisku údolnicového nebo vrcholového oblouku. Klikněte na kartu Rozvržení. V poli Název komponenty vyberte položku, například BVC. V Editoru textových komponent zobrazte dostupné vlastnosti kliknutím na rozevírací šipku v poli Vlastnosti. Přejděte do dolní části seznamu a zobrazte vlastnosti, jako jsou například Viditelný dosvit předního světla, Délka rozhledu k předjíždění atd.
Délka rozhledu k předjíždění je vzdálenost, kterou potřebuje řidič ke spatření blížícího se vozidla a určení, má-li dostatek místa k uvolnění předjížděcího pruhu. Délka rozhledu k předjíždění se v návrzích vrcholových výškových oblouků většinou nepoužívá, protože délka oblouku, která musí splňovat kritéria pro délku rozhledu k předjíždění, to obvykle neumožňuje.
Délka rozhledu pro zastavení je často užívané kritérium k určování délek oblouků, představující vzdálenost, kterou řidič potřebuje ke spatření nebezpečí na povrchu vozovky. Požadavky na délky rozhledů a délky rozhledů pro zastavení jsou předepsány státními nařízeními.
Délky vrcholových výškových oblouků se počítají pomocí délky rozhledu a délky rozhledu pro zastavení podle následujících rovnic.
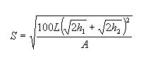
kde:
L = délka výškového oblouku metrech (nebo stopách)
S = délka rozhledu v metrech (nebo stopách)
A = algebraický rozdíl sklonů v procentech (%)
h1 = výška oka pozorovatele nad povrchem vozovky v metrech (nebo stopách)
h2 = výška objektu nad povrchem vozovky v metrech (nebo stopách)
Následující rovnice řeší hodnotu L, kde S je menší než L:

Následující rovnice řeší hodnotu S, kde S je menší než L:

Následující rovnice řeší hodnotu L, kde S je větší nebo rovno L:

Následující rovnice řeší hodnotu S, kde S je větší nebo rovno L:

V noci je délka rozhledu definována předními světly vozidla. Údolnicový výškový oblouk zachycuje paprsek reflektorů na povrchu vozovky a omezuje délku tohoto paprsku. Viditelný dosvit předního světla určuje délku oblouku na základě změřeného vrcholu paprsku reflektoru a maximálního úhlu světel vozidla. Také je vzata v úvahu výška oka řidiče.
K vytváření údolnicových výškových oblouků se používají následující rovnice pro viditelný dosvit předního světla:
kde:
A = algebraický rozdíl sklonů v procentech (%)
hd = výška paprsku reflektoru vozidla nad zpevněním vozovky v metrech (nebo stopách)
L = délka výškového oblouku metrech (nebo stopách)
S = délka rozhledu v metrech (nebo stopách)
Ø = úhel paprsku reflektoru vozidla vzhledem k horizontále (zpravidla 1 stupeň)
Následující rovnice řeší hodnotu L, kde S je menší než L:

Následující rovnice řeší hodnotu S, kde S je menší než L:

Následující rovnice řeší hodnotu L, kde S je větší nebo rovno L:

Následující rovnice řeší hodnotu S, kde S je větší nebo rovno L:
