Geometrie rovnice měření úhlu

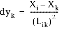
Změna souřadnic pro každé měření je vyjádřeno v následujících aproximacích Taylorovou řadou rovnice měření úhlů:

kde

V následujícím obrázku je znázorněna geometrie rovnice měření úhlů: