Různé přechodové oblouky se používají ve stavebnictví k postupnému vložení zakřivení a klopení vozovky, a to jak mezi tečny a kruhové oblouky, tak mezi dva kruhové oblouky s rozdílnou křivostí.
Ve vztahu k dalším tečnám nebo obloukům je každá přechodnice buď vnitřní oblouk, nebo vnější oblouk.
Dvěma nejběžnějšími parametry, které se používají při návrhu a nastavení přechodnice, jsou L (délka přechodnice) a R (poloměr kruhového oblouku).
Následující ilustrace ukazuje různé parametry přechodnice:
| Parametr přechodnice | Popis |
| i1 | Středový úhel oblouku přechodnice L1, což je úhel přechodnice. |
| i2 | Středový úhel oblouku přechodnice L2, což je úhel přechodnice. |
| T1 | Celková délka tečny od vrcholu polygonu k TS. |
| T2 | Celková délka tečny od vrcholu polygonu k ST. |
| X1 | Délka tečny v SC z TS. |
| X2 | Délka tečny v CS z ST. |
| Y1 | Vzdálenost odsazení tečny v SC z TS. |
| Y2 | Vzdálenost odsazení tečny v CS z ST. |
| P1 | Odsazení počáteční tečny do BZ posunutého oblouku. |
| P2 | Odsazení počáteční tečny do BT posunutého oblouku. |
| K1 | Úsečka posunuté PC s odkazem do TS. |
| K2 | Úsečka posunuté PT s odkazem do ST. |
| LT1 | Dlouhá tečna vstupní přechodnice. |
| LT2 | Dlouhá tečna výstupní přechodnice. |
| ST1 | Krátká tečna vstupní přechodnice. |
| ST2 | Krátká tečna výstupní přechodnice. |
| Jiné parametry přechodnice | |
| A1 | Hodnota A je rovna druhé odmocnině délky přechodnice vynásobené poloměrem. Míra plochosti přechodnice. |
| A2 | Hodnota A je rovna druhé odmocnině délky přechodnice vynásobené poloměrem. Míra plochosti přechodnice. |
Vzorec
Složená přechodnice poskytuje přechod mezi dvěma kruhovými oblouky s různými poloměry. Stejně jako u jednoduché přechodnice to umožňuje zajistit spojitost funkce zakřivení a poskytuje způsob zavedení hladkých přechodů do klopení vozovky.
Aplikace AutoCAD Civil 3D sice podporuje několik typů přechodnic, ale nejčastěji používaným typem přechodnice je klotoida. Klotoidová přechodnice se používá na celém světě v projektech silnic i železničních tratí.
Jako první ji prozkoumal švýcarský matematik Leonard Euler. Funkce křivosti klotoidy je lineární závislostí křivosti na délce (na vzdálenosti od bodu nula (0)), kde se přechodnice dotýká tečny. Křivost klotoidy roste lineárně, dokud neodpovídá křivosti přilehlého oblouku v bodu, kde se přechodnice a oblouk stýkají.
Taková trasa je spojitá a hladká (má spojitou první derivaci – azimut) i v napojení tečna – oblouk (PC). Na rozdíl od jednoduchého oblouku však také zachovává spojitost druhé derivace (lokální křivost), která nabývá na důležitosti při vyšších návrhových rychlostech.
Vzorec
Klotoida může být vyjádřena jako:
Plochost přechodnice:
Celkový úhel přepínaný přechodnicí:
Délka tečny v bodu přechodnice-oblouk z bodu tečna-přechodnice je:
Tečná vzdálenost odsazení v bodu přechodnice-oblouk z bodu tečna-přechodnice je:

Namísto klotoidy může být použita jako přechod Blossova přechodnice s parabolou pátého stupně. Tato přechodnice má před klotoidou výhodu v menším posunu P, proto je přechod delší a s větším prodloužením přechodnice (K). Tento faktor je důležitý při návrhu kolejové tratě.
Vzorec
Blossova přechodnice může být vyjádřena jako:

Další základní výrazy:
Délka tečny v bodu přechodnice-oblouk z bodu tečna-přechodnice je:

Tečná vzdálenost odsazení v bodu přechodnice-oblouk z bodu tečna-přechodnice je:
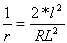
Tyto oblouky představují konzistentní průběh zakřivení a lze je použít k přechodu mezi 0 a 90 stupni tečných odklonění. Sinusoidy však nejsou příliš často používány, protože jsou strmější než skutečná přechodnice a je tudíž obtížné je zarovnat a vymezit.
Vzorec
Sinusoidy mohou být vyjádřeny jako:

kde písmeno r značí poloměr zakřivení v daném bodu.
Tento tvar rovnice je běžně používán v Japonsku pro návrh železnic. Tento oblouk je užitečný v situacích, kdy potřebujete efektivní přechod ve změně křivosti pro malé úhly odklonění (co se týče dynamiky vozidla).
Vzorec
Oblouky sinusových půlvlnných přechodnic mohou být vyjádřen jako:
kde
a x je vzdálenost od počátku k libovolnému bodu oblouku a měří se podél (prodloužené) počáteční tečny; X je celkové X na konci přechodového oblouku.
Další základní výrazy:
Délka tečny v bodu přechodnice-oblouk z bodu tečna-přechodnice je:

Tečná vzdálenost odsazení v bodu přechodnice-oblouk z bodu tečna-přechodnice je:

Kubické paraboly konvergují pomaleji než kubické přechodnice, díky čemuž jsou oblíbené při projektování železnic a dálnic.
Vzorec
Minimální poloměr kubické paraboly
Poloměr v libovolném bodu kubické paraboly je:
Kubická parabola dosahuje nejmenšího r v bodu:
Proto
Poloměr kubické paraboly se zmenšuje od nekonečna až po
při úhlu 24 stupňů, 5 minut a 41 vteřin a dále se začíná znovu zvětšovat. Díky tomu jsou kubické paraboly bezúčelné pro odklonění větší než 24 stupňů.
Tato přechodnice je vyvinuta pro požadavky uživatelů v Japonsku. Bylo vyvinuto několik aproximací klotoidy pro použití v situacích, kdy je potřeba přizpůsobit malý úhel odchylky nebo velký poloměr. Jedna z těchto aproximací, použitá pro projekty v Japonsku, se nazývá kubická (JP).
Vzorec
Kubická přechodnice (JP) může být vyjádřena jako:
Kde X= délka tečny v bodu přechodnice-oblouk z bodu tečna-přechodnice
Tento vzorec lze také vyjádřit jako:

Kde
je středový úhel přechodnice (zobrazeno v ilustraci jako i1 a i2in)
Další základní výrazy:
Délka tečny v bodu přechodnice-oblouk z bodu tečna-přechodnice je:

Tečná vzdálenost odsazení v bodu přechodnice-oblouk z bodu tečna-přechodnice je:
Jedná se o typ upravené kubické paraboly, která splňuje požadavky norem australského Nového Jižního Walesu.
Vzorec
Kubickou parabolu NSW lze vyjádřit následovně:
Kde:
Φ = úhel mezi koncovou radiální čárou v poloměru R a na kolmé čáře a mezi počáteční tečnou
R = poloměr oblouku
Xc = celková hodnota X dané přechodnice
Bikvadratické (Schrammovy) přechodnice mají nízké hodnoty svislého zrychlení. Obsahují dvě paraboly druhého stupně, jejichž poloměry se mění jako funkce délky oblouku.
Vzorec jednoduchého oblouku
Zakřivení první paraboly:
pro
Zakřivení druhé paraboly:
pro
Tento oblouk je určen délkou přechodnice definovanou uživatelem (L).
Vzorce složeného oblouku
Zakřivení první paraboly:
pro
Zakřivení druhé paraboly:
pro