Délka řemene je určena ve jmenovitém nebo účinném systému. Z tohoto důvodu se pro každou řemenici určují nejdříve jmenovitý a účinný průměr. Trajektorie řemene je založena na pozici jednotlivých řemenic. Pozice posuvné řemenice je upravena, aby bylo splněno kritérium standardní délky řemene. Výpočet používá přírůstkové řešení k nalezení vhodné pozice posuvné řemenice, která je nejblíže požadované (nebo aktuální) pozici posuvné řemenice.
Průměry řemenic
|
|
Řemenice s drážkou |
|
D e = D w + 2 h w |
|
|
D p = D w + 2 a |
|
|
D d = D w |
|
|
|
Plochá řemenice ve směru hodinových ručiček |
|
D e = D + 2 h |
|
|
D p = D + 2 (h - h w + a) |
|
|
D d = D + 2(h - h w ) |
|
|
|
Plochá řemenice proti směru hodinových ručiček |
|
D e = D |
|
|
D p = D + 2 (h w - a) |
|
|
D d = D + 2 h w |
Příklad převodu výkonu se dvěma řemenicemi
V tomto příkladu je použit jmenovitý systém.
Úhel opásání
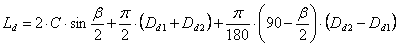
Jmenovitá délka řemene
Vzdálenost os
Následující vzorec je doporučen při určování vzdálenosti os nového pohonu
0,7 (D d1 + D d2 ) ≤ C ≤ 2(D d1 + D d2 )
Význam použitých proměnných:
|
D W |
Jmenovitý průměr (jmenovitý nebo účinný) [m] |
|
D e |
Efektivní (vnější) průměr ozubené řemenice [m] |
|
h w |
Jmenovitá výška (pro výkonný systém h w = 0) [m] |
|
a |
Odsazení roztečné čáry (pro účinný systém je záporné) [m] |
|
D |
Jmenovitý a vnější průměr ploché řemenice [m] |
|
h |
Výška řemenu [m] |
|
D d |
Jmenovitý průměr řemenice [m] |
|
C |
Osová vzdálenost [m] |
| β |
Úhly opásání [stupně] |
|
L d |
Jmenovitá délka řemene [m] |