Arbeiten mit Moldflow

Prüfen Sie die Anforderungen für das Arbeiten mit Moldflow-Modellen in Advanced Material Exchange.

Anforderungen an Moldflow-Modelle
  Moldflow
Unterstützte Versionen Insight 2016, 2017, 2018
Netztyp 3D- oder Mittelfläche-Elemente
Geometrie Einzelne Formteile
Modell enthält Analysereihenfolge "Füllen + Nachdruck"

Moldflow-Analysetypen

Advanced Material Exchange unterstützt sowohl spritzgegossene als auch spritzgeprägte Formteile aus Moldflow.

Moldflow-Ergebnisdateien

Beim Importieren von Moldflow-Studiendateien in Advanced Material Exchange müssen Sie sicherstellen, dass sich die von der Studiendatei (*.sdy) referenzierten zusätzlichen Moldflow-Ergebnisdateien im selben Verzeichnis befinden. Für Modelle mit einer Analyse zur Schweißoberflächenstärke müssen die folgenden Ergebnisdateien vorhanden sein:

Für Modelle ohne Analyse zur Schweißoberflächenstärke ist die *.ws3-Datei nicht erforderlich.

Moldflow-Fasermodell

Moldflow bietet eine Reihe von Modellen zur Faserausrichtungsprognose. Vorgabemäßig wird das Moldflow-Rotationsdiffusions-Modell (MRD) verwendet. Das in Moldflow 2017 R2 oder höher verfügbare MRD ist das empfohlene Modell für die Verwendung mit Advanced Material Exchange.

Gefüllt und ungefüllte Materialien

Advanced Material Exchange unterstützt sowohl gefüllte·als auch ungefüllte Kunststoffe. Bei gefüllten Kunststoffen, bei denen das Seitenverhältnis des Füllstoffs > 1 ist, hängt das Materialverhalten stark von den Faserausrichtungen ab. Wenn das Seitenverhältnis des Füllstoffs = 1 (eine Kugel) ist, gilt das Material als ungefüllt. Beispiele umfassen Talk oder andere Mineralfüllstoffe.

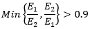
Ungefüllte Materialien sind fast immer isotrop. Es gibt jedoch auch Fälle, in denen sich ein ungefülltes Material anisotropisch verhalten kann. Wenn die folgenden Kriterien erfüllt sind, erkennt Advanced Material Exchange ungefülltes Material als isotrop.

Dabei gilt: E1 und E2 sind die E-Module in den Richtungen 1 und 2. Wenn das ungefüllte Material diese Kriterien erfüllt, werden E-Modul und Poisson-Zahl wie folgt berechnet:

Spröde und verformbare Materialien

Advanced Material Exchange ist für das Arbeiten mit vornehmlich spröden Materialien konzipiert. Im Allgemeinen brechen spröde Materialien bei geringer Dehnung und ohne sichtbare Warnung (d. h. Einschnürung). Spröde Materialien können Materialerweichung zeigen, bevor sie versagen, aber sobald das Versagen einsetzt, folgt sehr bald der schwerwiegende Ausfall der Struktur.

Verformbare Materialien zeigen eine große, verlängerte Spannungs-Dehnungs-Kurve (große Verformungen bei Versagen). Die Abbildung unten zeigt ein Beispiel eines verformbaren Materials.

Das Materialmodell in Advanced Material Exchange eignet sich am besten für Materialien, bei denen Versagen bei relativ geringer Dehnung erfolgt. Sehr verformbare Materialien werden mit dem vorhandenen Materialmodell nicht besonders gut dargestellt. Advanced Material Exchange berücksichtigt bei der Materialcharakterisierung den Bereich über die maximale Spannung hinaus nicht. Dieser wird in der Darstellung oben als schattierter Bereich dargestellt.

Layersteuerung für Modelle mit mehreren Bereichen

Advanced Material Exchange lässt nicht zu, dass Sie ein Mittelebenenmodell aus Moldflow mit mehreren aktiven Bereichen oder Layern mit unterschiedlichen Dicken importieren. Sie können jedoch die Layersteuerungen in Moldflow für Modelle mit unterschiedlichen Dicken verwenden.

  1. Verwenden Sie Moldflow, um alle Layer mit Ausnahme derjenigen zu deaktivieren, die Sie zuordnen möchten.
  2. Speichern Sie die Studie.
  3. Importieren Sie in Advanced Material Exchange.

Diese einfache Workaround-Lösung ermöglicht Ihnen das Importieren komplexer Modelle in Advanced Material Exchange ohne wesentliche Änderungen an der Studie vorzunehmen. Die gleiche Vorgehensweise können Sie verwenden, um Angusskanäle und Kühlleitungen, die für Advanced Material Exchange nicht erforderlich sind, zu entfernen.

Ein weiterer Vorteil der Aktivierung eines einzelnen Layer ist, dass die automatische Ausrichtungsfunktion in Advanced Material Exchange für jedes Modell funktioniert, und Sie das interaktive Ausrichtungswerkzeug nicht mehr benötigen.