Löschen von Elementen

Elemente können während einer Analyse entfernt werden, indem Sie die Funktion Elementlöschung aktivieren. Das Löschen von Elementen wird mit der HIN-Datei gesteuert.

Wenn ein Element gelöscht wird, werden alle Spannungen im Element auf null gesetzt, und das Element trägt nicht länger energetisch zur Simulation bei. Elemente mit mehreren Integrationspunkten werden erst gelöscht, wenn jeder einzelne Integrationspunkt zum Löschen markiert wurde. Bis das Element gelöscht ist, haben alle Integrationspunkte eine Steifigkeit ungleich null und tragen weiterhin zur allgemeinen Dehnungsenergie des Modells bei, unabhängig von ihrem individuellen Löschstatus.

Für die Aktivierung der Elementlöschung sind drei Schritte erforderlich:

  1. Ändern Sie das Schlüsselwort *DEPVAR in der Eingabedatei
  2. Fordern Sie die Ausgabe der STATUS-Variable an
  3. Geben Sie in der HIN-Datei die Kriterien für die Elementlöschung an

Ändern Sie *DEPVAR

Verbundmaterialien

Für Verbundmaterialien muss das Schlüsselwort *DEPVAR in der Eingabedatei den Parameter DELETE mit dem Wert 1 enthalten. Beispiel:

*DEPVAR, DELETE=1
8

Der Parameter DELETE=1 kann mit Abaqus/CAE oder durch manuelles Bearbeiten der Eingabedatei mit einem Texteditor hinzugefügt werden. Mit Abaqus/CAE:

  1. Wechseln Sie zum Modul Eigenschaft
  2. Klicken Sie auf Material > Bearbeiten > Materialname
  3. Wählen Sie Depvar in der Liste "Material Behaviors"
  4. Legen Sie die Variablenanzahl, die die Elementlöschung steuert, auf 1 fest
  5. Klicken Sie auf OK.

Kohäsive Materialien (nur in Abaqus 2016 oder höher unterstützt)

Für kohäsive Materialien muss das Schlüsselwort *DEPVAR in der Eingabedatei den Parameter DELETE mit dem Wert 10 enthalten. Beispiel:

*DEPVAR, DELETE=10
10

Wie oben gezeigt, kann der Parameter DELETE=10 mithilfe von Abaqus/CAE oder durch manuelles Bearbeiten der Eingabedatei mit einem Texteditor hinzugefügt werden.

Anmerkung: Das Löschen kohäsiver Elemente wird nur durch das Schlüsselwort * DEPVAR gesteuert. Das kohäsive Element wird zum Löschen markiert, wenn der Schaden vollständig akkumuliert ist (SDV6 = 1). Es ist kein HIN-Schlüsselwort erforderlich, um kohäsive Elemente zu löschen.

Ausgabe anfordern

Die STATUS-Variable muss in der Liste der Elementausgaben aufgeführt sein. Beispiel:

*OUTPUT, FIELD
*ELEMENTOUTPUT
SDV, STATUS

Die STATUS-Variable kann mit Abaqus/CAE oder durch manuelles Bearbeiten der Eingabedatei mit einem Texteditor zu den Ausgabe-Anforderungen hinzugefügt werden. Mit Abaqus/CAE:

  1. Klicken Sie auf Output > Field Output Requests > Manager
  2. Klicken Sie auf Bearbeiten
  3. Wählen Sie STATUS aus der Liste der Ausgabevariablen
  4. Klicken Sie auf OK.

Anmerkung: Wird dieser Schritt ausgelassen, kann die Elementlöschung dennoch weiterhin ordnungsgemäß ausgeführt werden. Abaqus/Viewer entfernt die gelöschten Elemente jedoch nicht aus der Visualisierung.

HIN-Datei

Das Schlüsselwort *ELEMENT DELETION in der HIN-Datei wird verwendet, um die Löschungskriterien zu steuern. Die Kriterien *ELEMENT DELETION werden wie folgt dargestellt:

*ELEMENT DELTION, TYPE=type, CRIT=crit

wobei die Parameter TYPE und CRIT eingegeben werden müssen. Das Schlüsselwort *ELEMENT DELETION muss sich in der HIN-Datei unter dem Schlüsselwort *MATERIAL befinden.

Unidirektionale Materialien

Für unidirektionale Verbundwerkstoffe sind die folgenden Kombinationen von TYPE und CRIT verfügbar:

*ELEMENT DELETION, TYPE=MATRIX, CRIT=RELOAD
Max_Ratio

*ELEMENT DELETION, TYPE=MATRIX, CRIT=SPLIT
theta

*ELEMENT DELETION, TYPE=FIBER, CRIT=ANY

Für TYPE=MATRIX gibt es zwei verfügbare Kriterien: RELOAD und SPLIT.

TYPE=MATRIX, CRIT=RELOAD

Das Kriterium RELOAD löscht das Element, wenn das Spannungsniveau im Element nach dem Ausfall der Matrix eine bestimmte Größe erreicht. Nach dem Fehlschlagen der Matrix wird σvmt, der Anteil der Von Mises-Spannung aus den Termen σ22, σ33, σ12, σ13 und σ23, mit σvm, der vollen Von Mises-Spannung (einschließlich σ11), verglichen. Überschreitet das Verhältnis von σvmt zu σvm einen benutzerdefinierten Wert, wird das Element zum Löschen markiert.

Das Kriterium RELOAD bewertet das Niveau des Spannungstensors in den Richtungen, die nicht von Fasern dominiert sind. Nach dem Matrixausfall wollen wir die Steifigkeit in diesen Richtungen so niedrig wie möglich halten (da die Matrix angerissen ist). Aufgrund der großen Dehnungen können sich die Spannungen in einigen Fällen jedoch neu laden. Mit dem Kriterium RELOAD können Elemente mit diesem Verhalten entfernt werden, sodass sie keine erheblichen energetischen Beiträge zur Analyse leisten können, wenn dies nicht angemessen ist.

Wenn CRIT=RELOAD verwendet wird, muss das maximal zulässige Verhältnis von σvmt zu σvm angegeben werden. Dieses wird in der ersten Datenzeile nach dem Schlüsselwort *ELEMENT DELETION festgelegt. Beispiel:

*ELEMENT DELETION, TYPE=MATRIX, CRIT=RELOAD
0.2

In diesem Beispiel wird das Element gelöscht, wenn σvmt 20 % der gesamten Von Mises-Spannung σvm beträgt oder überschreitet.

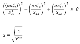
TYPE=MATRIX, CRIT=SPLIT

Für TYPE=MATRIX, CRIT=SPLIT wird die Matrixteilung nach der Initiierung des Matrixausfalls ausgewertet. Wenn bei Erkennung von Matrixteilung ein Matrixausfall ausgelöst wird, wird das Element zum Löschen markiert. Die Teilung wird mit den folgenden Kriterien bestimmt:

wobei α ein Skalierungsfaktor berechnet anhand des unidirektionalen Matrixausfallkriteriums, ψ .m, ist. θ stellt einen benutzerdefinierten Grenzwert beim Auslösen der Elementlöschung dar. Der Vorgabewert von θ ist 0.75. θ muss im Bereich 0 < θ ≤ 1 liegen. Nur die Komponenten σ22c, σ12c und σ13c der Verbundmaterial-Spannung werden in der Teilungsauswertung verwendet. Dies sind die Spannungskomponenten, die zur Längsteilung in der Matrix beitragen. Die Macaulay-Klammern um die Menge σ22c stellen sicher, dass σ22c nur zur Auswertung der Matrixteilung beiträgt, wenn die Spannung zugbeansprucht ist.

Betrachten Sie das folgende Beispiel, in dem ein Element gelöscht werden sollte, wenn die Teilung mit dem Grenzwert θ = 0.80 identifiziert wird.

*MATERIAL, NAME=IM7_8552
*ELEMENT DELETION, TYPE=MATRIX, CRIT=SPLIT
0.8

TYPE=FIBER, CRIT=ANY

Für TYPE=FIBER ist ANY das einzige verfügbare Kriterium. Das Kriterium ANY gibt an, dass jedes Faserversagen automatisch das Löschen des Elements auslöst. Für dieses Kriterium gibt es keine Datenzeilen.

Wichtige Überlegungen zu sofortiger Degradation vs. energiebasierter Degradation

Die Elementlöschung findet auf unterschiedliche Weise statt, je nach angewendetem Zerfallsschema. Bei der sofortigen Degradation werden die Löschungskriterien für das Element sofort bei Ausfallbeginn überwacht. Bei der energiebasierten Degradation werden die Löschungskriterien für das Element erst überwacht, wenn die Bruchenergie vollständig abgeführt wurde.

Gewebte Materialien

Für gewebte Verbundwerkstoffe sind die folgenden Kombinationen von TYPE und CRIT verfügbar:

*ELEMENT DELETION, TYPE=FIBER, CRIT=ANY

*ELEMENT DELETION, TYPE=FIBER, CRIT=BOTH

*ELEMENT DELETION, TYPE=FIBER, CRIT=RELOAD

Für gewebte Verbundwerkstoffe sind keine auf Matrixausfall basierende Löschungskriterien für Elemente verfügbar.

Bei CRIT=ANY wird das Löschen eines Elements ausgelöst, wenn die Fasern in einem Garn versagen.

Bei CRIT=BOTH wird das Löschen eines Elements ausgelöst, wenn die Fasern in beiden Garnen versagen.

Bei CRIT=RELOAD werden die Spannungen in Garnrichtung nach einem Faserversagen überwacht. Die normale Spannung in der fehlgeschlagenen Garnrichtung, σn, wird mit der maximalen Zugfestigkeit in der fehlgeschlagenen Garnrichtung, S11u, verglichen. Überschreitet das Verhältnis von σn zu S11U einen benutzerdefinierten Wert β, wird das Element gelöscht. β muss in der ersten Datenzeile nach dem Schlüsselwort *ELEMENT DELETION angegeben werden. Beispiel:

*ELEMENT DELETION, TYPE=FIBER, CRIT=RELOAD
0.3

In diesem Beispiel wird das Element gelöscht, wenn σn 30 % von S11U beträgt oder überschreitet. Das Kriterium RELOAD umfasst zudem die Logik des Kriteriums BOTH, sodass ein Faserversagen in beiden Garnen auch das Löschen des Elements auslösen würde.

Anmerkung: Für ein gegebenes Material kann jede TYPE-Parameterkombination verwendet werden. Dabei benötigt jeder Parameter TYPE ein eigenes Schlüsselwort *ELEMENT DELETION.

Anmerkung: Ist kein Parameter CRIT angegeben, wird die HIN-Datei standardmäßig immer auf CRIT=NONE gesetzt, wobei die Elementlöschung für den gegebenen Parameter TYPE nicht überwacht wird.

Kohäsive Materialien

Das Löschen kohäsiver Elemente wird nur durch das Schlüsselwort * DEPVAR gesteuert. Das kohäsive Element wird zum Löschen markiert, wenn der Schaden vollständig akkumuliert ist (SDV6 = 1). Es ist kein HIN-Schlüsselwort erforderlich, um kohäsive Elemente zu löschen.