LaRC02-Kriterium

Das LaRC02-Kriterium [55] identifiziert Faserversagen und Matrixrisse in einem unidirektionalen Verbundmaterial.

Faserausfälle werden nach drei möglichen Ausfallmodi unterschieden:

Matrixrisse werden nach drei möglichen Ausfallmodi unterschieden:

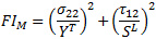
Wenn ein Fehlerindex (FI) gleich oder größer als 1,0 ist, tritt ein Ausfall auf (Faser- oder Matrixversagen).

Häufig in LaRC02 verwendete Begriffe

In diesem Abschnitt werden Begriffe vorgestellt, die im Zusammenhang mit dem LaRC02-Ausfallkriterium häufig auftauchen.

XT = Wert von σ11 bei Ausfall durch längsseitigen Zug

XC = Wert von σ11 bei Ausfall durch längsseitigen Druck

YT = Wert von σ22 bei Ausfall durch Querzug

YC = Wert von σ22 bei Ausfall durch Querdruck

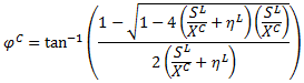
SL = Absoluter Wert von σ12 bei Ausfall durch Längsscherung

ST = Absoluter Wert von σ23 bei Ausfall durch Querscherung

α0 = Winkel der Bruchebene bei uniaxial wirkendem Querdruck (auf 53° festgelegt)

α = Winkel der Bruchebene, der den Fehlerindex maximiert

G12 = Längsschermodule

Faserausfall durch Zug

Bei positiver längsseitiger Normalspannung (σ11) wird der Modus "Faserausfall durch Zug" verwendet, um das Auftreten eines Faserausfalls zu ermitteln. Die Gleichung für das Zugfaserausfallkriterium lautet

wobei ε11 für die aktuelle Längsdehnung und für die Längsdehnung bei Faserausfall durch Zug steht.

wird wie folgt aus der axialen Zugfestigkeit des Verbundmaterials berechnet:

Faserausfall durch Druck mit Matrixkompression

Es gibt zwei Ausfallkriterien für den Faserausfall durch Druck. Der Spannungszustand bestimmt, welches von ihnen zur Auswertung des Faserausfalls verwendet wird. Faserausfall durch Druck wird in einem gedrehten Koordinatensystems ausgewertet. Bei positiver transversaler Normalspannung () wird das folgende Kriterium zur Auswertung von Faserausfällen verwendet.

Bei negativer transversaler Normalspannung () wird das folgende Kriterium zur Auswertung von Faserausfällen verwendet.

Matrixausfall bei Zug

Das Ausfallkriterium "Matrixriss bei Zug" wird aufgerufen, wenn die transversale Normalspannung (σ22) positiv ist. Die Gleichung für das Ausfallkriterium lautet

Matrixausfall bei Druck

Es gibt zwei Ausfallkriterien für den Matrixausfall durch Druck. Der Spannungszustand bestimmt, welches von ihnen zur Auswertung des Matrixausfalls verwendet wird. Wenn die längsseitige Normalspannung (σ11) größer als oder gleich der Querdruckfestigkeit (YC) ist, wird das folgende Kriterium zur Auswertung des Matrixausfalls verwendet.

Wenn die längsseitige Normalspannung (σ11) kleiner als die Querdruckfestigkeit (YC) ist, wird angenommen, dass sich das Material in einem mäßig biaxialen Druckzustand befinde. In diesem Fall wird das folgende Kriterium zur Auswertung des Matrixausfalls verwendet.

Dieses Kriterium verwendet Spannungen im gedrehten Koordinatensystem zur Berechnung der effektiven Spannungen.