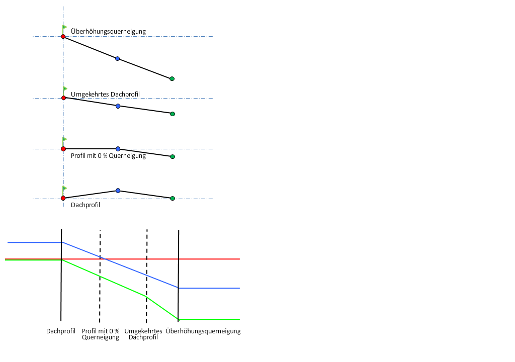
In der folgenden Abbildung wird die Drehpunktmethode Außenseite des Bogens für eine baulich nicht getrennte Straße mit Dachprofil beschrieben.
Eine Beschreibung der Querneigungsdiagramme finden Sie unter Informationen zu Drehpunktmethoden der Querneigungsdrehachse.
