Berechnungsformeln für Träger

Diese Formeln werden verwendet, um entweder eine Welle (mit mind. einem Schnitt) oder einen Träger (mit einem konstantem Schnitt) mit mehreren Auflagern und Lasten zu berechnen.

Die Wellen-/Trägerachse ist an der Z-Achse ausgerichtet. Wenn die Auswirkungen auf die Materialdichte in die Berechnung mit einbezogen werden, wird der Schwerkraftvektor an der Y-Achse ausgerichtet.

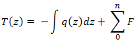
Schubkräfte:

Biegemomente:

Durchbiegungswinkel:

Dabei gilt:

 

E

Elastizitätsmodul bei Spannung

 

J

Trägheitsmoment

 

G

Schubelastizitätsmodul

  β

Koeffizient für Schubverschiebung

Durchbiegung:

Biegespannung:

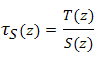
Scherspannung:

Torsionsspannung:

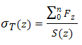
Spannung:

Reduzierte Spannung:

Dabei gilt:

  σ B Biegespannung
  σ T

Spannung

  τ Torsionsspannung
  τ S Scherspannung
  α α = 3 für HMH
    α = 4 für Tresca-Guest

Beispielberechnung

Elastizitätsmodul E = 210 000 MPa

Schubelastizitätsmodul G = 81 000 MPa

Koeffizient für Schubverschiebungβ=1.118

Modus der reduzierten Spannung: HMH

Die Materialdichte soll nicht berücksichtigt werden.

Gegenkräfte:

Maximale Scherspannung:

Maximale Torsionsspannung:

Maximales Moment:

Maximale Biegespannung:

Maximale reduzierte Spannung:

Verdrehungswinkel: