Wählen Sie im Formular Idealisierungen unter Typ die Option Schalenelemente.
- Verknüpfte Geometrie: Wählen Sie die Fläche(n) aus, auf die Sie die Idealisierungseigenschaften anwenden möchten. Wenn die Option Verknüpfte Geometrie NICHT aktiviert ist, wird die Idealisierung auf das gesamte Modell (alle Flächen) angewendet. Wählen Sie eines der folgenden Optionsfelder aus:
- Vierecke: Erstellen Sie vierseitige Elemente für alle Flächen in allen Bauteilen.
- Dreiecke: Erstellen Sie dreiseitige Flächen für alle Flächen in allen Bauteilen.
Alternativ können Sie die Option Verknüpfte Geometrie aktivieren, um eindeutige Idealisierungseigenschaften für einzelne Flächen innerhalb des Bauteils oder der Baugruppe festzulegen.
Führen Sie vor der Auswahl von Flächen folgende Schritte durch:
- Klicken Sie in das Feld Ausgewählte Vierecke, und wählen Sie die gewünschten Flächen aus. Die ausgewählten Flächen werden in der Liste Ausgewählte Vierecke aufgeführt und mit einem Netz aus vierseitigen Schalenelementen versehen.
- Klicken Sie in das Feld Ausgewählte Dreiecke, und wählen Sie die gewünschten Flächen aus. Die ausgewählten Flächen werden in der Liste Ausgewählte Dreiecke aufgeführt und mit einem Netz aus dreiseitigen Schalenelementen versehen. Diese Option ist nützlich, wenn Sie eine Haut aus Schalenelementen auf einer Fläche eines Elements eines Volumenkörpers (Tetraeder) erstellen, sodass die Schalen- und Volumennetze übereinstimmen.
- Mithilfe der Pfeilschaltflächen können Sie die ausgewählten Elemente von einer Liste zur anderen verschieben oder den Inhalt der beiden Felder tauschen.
- Bohrenden-DOF einschließen (CQUADR/CTRIAR): Wenn diese Option NICHT aktiviert ist, unterstützen die Schalenelemente fünf Freiheitsgrade (DOF), drei Verschiebungen und Drehungen um zwei Achsen in der Ebene (Biegeverzerrung). Der Freiheitsgrad für Drehungen um die normale Achse (Bohrachse) wird nicht direkt unterstützt. Es ist jedoch einige Steifigkeit vorhanden (wie vom Parameter K6ROT geregelt).
Aktivieren Sie die Option Bohrenden-DOF einschließen (CQUADR/CTRIAR), wenn Sie normale Knotendrehungen direkt berücksichtigen oder Momente über die Achse senkrecht zur Ebene des Elements übertragen möchten. Normale Knotenmomente führen zu Verschiebungen von Eck- und Mittelknoten in der Ebene. Der Effekt ist in der Regel präziser, wenn Sie Bohrenden-DOF einschließen. Diese Option sollte angegeben werden, wenn
- gekrümmte Schalen modelliert werden
- Träger-, Stangen- oder Rohrelemente mit den Schalen verbunden sind
- starre Elemente mit den Schalen verwendet und mit allen sechs Freiheitsgraden abhängig gemacht werden
Sie sollten die folgenden Richtlinien einhalten, wenn Sie die Option Bohrenden-DOF einschließen (CQUADR/CTRIAR) verwenden:
- Für mindestens einen Rasterpunkt im Modell muss der Bohrenden-Freiheitsgrad beschränkt sein, was bei den Biegungs-Freiheitsgraden nicht der Fall ist. Der Benutzer muss den Bohrenden-Freiheitsgrad beim Anwenden von Randbedingungen berücksichtigen (d. h. wenn Sie eine Kante gerade bleiben soll, müssen Sie den Bohrenden-Freiheitsgrad beschränken). Das gilt auch für Kantenbelastungen.
- Beschränken Sie den Bohrenden-Freiheitsgrad nicht zu stark (d. h. beschränken Sie nicht alle Bohrenden-Freiheitsgrade im Modell).
Es gibt zwei zentrale Optionen für Schalenelemente: Standard und Laminat.
-
Standard:
- Dicke (t): Eine Dicke für Schalenelemente, die gleichmäßig auf beide Seiten der Oberfläche verteilt wird.
- NSM: Eine nichtstrukturelle Masse für die Schalenelemente wird in den Berechnungen verwendet.
- Definition des Koordinatensystems für das Material eines vierseitigen Schalenelements:
- Geometrie und Koordinatensystem eines vierseitigen Schalenelements:
- Kräfte in vierseitigen Schalenelementen:
- Momente in vierseitigen Schalenelementen:
- Spannungen in vierseitigen Schalenelementen:
- Definition des Koordinatensystems für das Material von dreieckigen Schalenelementen:
- Elementgeometrie und Koordinatensysteme für dreieckige Schalenelemente:
- Erweiterte Optionen: Ermöglicht Ihnen die Definition der zusätzlichen Eigenschaften, die im Folgenden beschrieben werden.
- Spannungswiederherstellung: Hier können Sie die Abstände zwischen den oberen und unteren Fasern für die Spannungsberechnung definieren. Dabei wird die Rechte-Hand-Regel verwendet. Die Reihenfolge, in der die Rasterpunkte im Verbindungseintrag aufgelistet sind, bestimmt die positive Richtung.
- Abstand der unteren Fasern: Hier können Sie den Versatzabstand von der Oberfläche der Rasterpunkte zur Referenzebene der Elemente definieren. Kann sichtbar sein, wenn die Option zur Anzeige des Querschnitts aktiviert ist.
- Verwenden Sie Layerdehnung Elementtyp: Mit dieser Option können Sie das reguläre Schalenelement in ein Ebenendehnungselement ändern. Wenn diese Option aktiviert ist, sind die Biegungs- und Membraneigenschaften (wie das Verhältnis von Querspannung und Membrandicke) sowie die entsprechenden Materialeigenschaften deaktiviert, da sie in diesem Fall nicht anwendbar sind.
-
Laminat:
- Mit der Option Laminat können Sie eine Verbundlaminat-Eigenschaft definieren. Klicken Sie auf die Schaltfläche Neues Laminat. Das Dialogfeld Laminat wird geöffnet.
- Unter Schichtoptionen haben Sie folgende Möglichkeiten:
- Hinzufügen: Hiermit können Sie die Schicht hinzufügen.
- Material: Hiermit definieren Sie ein neues Material.
- Globale Schicht: Hiermit definieren Sie die globale Schicht, wie in der folgenden Abbildung gezeigt.
- Nach oben: Hiermit verschieben Sie die ausgewählte Schicht einen Schritt nach oben.
- Nach unten: Hiermit verschieben Sie die ausgewählte Schicht einen Schritt nach unten.
- Sym: Hiermit erstellen Sie die Symmetrie der ausgewählten Schicht(en).
- Anti-Sym: Hiermit erstellen Sie die Anti-Symmetrie der ausgewählten Schicht(en).
- Rückgängig: Hiermit machen Sie den letzten Vorgang rückgängig.
- Wiederherstellen: Hiermit stellen Sie den letzten Vorgang wieder her.
- Löschen: Hiermit löschen Sie die ausgewählte(n) Schicht(en).
- Ausschneiden: Hiermit schneiden Sie die ausgewählte(n) Schicht(en) aus.
- Kopieren: Hiermit kopieren Sie die ausgewählte(n) Schicht(en).
- Einfügen: Hiermit fügen Sie die Schicht(en) ein, die Sie zuvor ausgeschnitten oder kopiert haben.
- Importieren: Hiermit können Sie die Schichtdetails im CSV-Format importieren.
- Exportieren: Hiermit können Sie die Schichtdetails im CSV-Format exportieren.
- Wiederholen: Hiermit können Sie eine Mehrfachschicht für die Schicht(en) erstellen, die Sie ausgewählt haben.
- Globale Schicht verwenden: Hiermit aktivieren Sie die Spalte für eine globale Schicht.
- Layout: Hiermit können Sie die Schichten von Unten im Layup zu Oben im Layup umkehren. Die Schichten werden visuell umgedreht. Beim Exportieren der Nastran-Datei wird immer das Format verwendet, bei dem die Schichten sich unten im Layup befinden.
- Klicken Sie unter Schichtoptionen auf Hinzufügen, um mit der Definition der ersten Schicht zu beginnen. Diese Schicht befindet sich ganz unten im Layup.
- Schicht-ID: Jede Schicht im Verbund hat eine eindeutige ID. Diese IDs werden automatisch von Autodesk Nastran In-CAD generiert, wenn Sie die Schichten in diesem Dialogfeld erstellen. Sie können nicht geändert werden.
- Material: Jede Schicht kann ein anderes Material aufweisen. In diesem Pulldown-Menü können Sie ein Material auswählen, das unter Materialien vordefiniert wurde.
- Dicke: Jede Schicht kann über einen eigenen Wert für die Dicke verfügen.
- Winkel: Dies ist der Ausrichtungswinkel der Schicht. Dieser Winkel wird in Bezug auf den Winkel der Materialausrichtung berechnet. Ein Schichtwinkel von Null entspricht der Materialausrichtung.
- Spannung/Dehnung: Hiermit können Sie die Spannungsausgabe für jede Schicht steuern, indem Sie die Einstellung auf EIN oder AUS setzen.
-
Laminateigenschaften:
- Laminatoptionen: Hiermit können Sie verschiedene Laminat-Arten definieren, wie beispielsweise SYM, HCS, FCS, ACS, SME oder SMC.
- Beim Laminat SYM werden nur die Schichten auf einer Seite der Mittellinie des Elements angegeben. Die Schichten werden nummeriert, beginnend mit 1 für die unterste Schicht. Wenn beim Laminat SYM eine ungerade Anzahl an Schichten gewünscht wird, muss die Dicke der mittleren Schicht (Ti) der Hälfte der tatsächlichen Dicke entsprechen.
- Bei den Laminaten HCS, FCS und LAM wird zur Ausgabe des Stabilitätsbeiwerts der Deckschicht ein Verbundsandwich definiert. Bei HCS wird ein Wabenmuster-Kernmaterial verwendet, bei FCS ein Form-Kernmaterial, und bei ACS wird auf Grundlage des angegebenen Kernmaterials entweder HCS oder FCS ausgewählt.
- Beim Laminat SME werden die Schichteffekte verwischt, und die Stapelsequenz wird ignoriert. Beim Laminat SMC wird ein Verbundsandwich mit entsprechenden orthotropen Eigenschaften definiert.
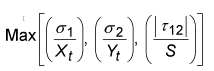
- Fehlertheorie: Dies ist die Schichtfehlertheorie. Die folgenden Theorien sind zulässig. Wenn das Feld leer ist, wird keine Fehlerberechnung durchgeführt. Hill ist als Vorgabe für die Fehlertheorie eingestellt.
- HILL für die Hill-Theorie.
Orthotrope Materialien mit gleicher Festigkeit bei Zug und Druck.
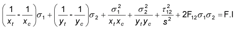
- HOFF für die Hoffman-Theorie.
Orthotrope Materialien unter einem allgemeinen ebenen Spannungszustand mit ungleicher Festigkeit bei Zug und Druck.
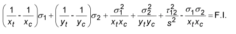
- TSAI für die Tsai-Wu-Theorie.
Orthotrope Materialien unter einem allgemeinen ebenen Spannungszustand mit ungleicher Festigkeit bei Zug und Druck.
- Maximale Spannung für die Theorie der maximalen Spannung.
- Maximale Dehnung für die Theorie der maximalen Dehnung.
- LaRC02 für die NASA LaRC-Theorie.
Orthotrope Materialien, die aus unidirektionalen Schichten unter einem allgemeinen ebenen Spannungszustand bestehen. Weitere Informationen finden Sie im Benutzerhandbuch für Autodesk Nastran, Referenz 5.
- PUCK für die Puck PCP-Theorie.
Orthotrope Materialien, die aus unidirektionalen Schichten unter einem allgemeinen ebenen Spannungszustand bestehen. Weitere Informationen finden Sie im Benutzerhandbuch für Autodesk Nastran, Referenz 12 und 13.
- MCT für die Mehrphasen-Kontinuumstheorie.
Orthotrope Materialien, die aus unidirektionalen Schichten oder aus normal verwobenem Gewebe unter einem allgemeinen ebenen Spannungszustand bestehen. Weitere Informationen finden Sie im Benutzerhandbuch für Autodesk Nastran, Referenz 20, 21 und 22.
- Festigkeitsverhältnis: Steuert die Ausgabe des Tsai-Festigkeitsverhältnisses, das bei der Ergebnisausgabe für Verbundelementschichten anstelle des Fehlerindex angegeben wird. Wenn diese Option auf EINgesetzt ist, kann der Parameter PARAM,STRENGTHRATIO,ON definiert werden, und das Tsai-Festigkeitsverhältnis wird berechnet. Das Festigkeitsverhältnis gilt als aussagekräftiger als der Fehlerindex, da es genau angibt, wie die angewendete Last geändert werden muss, um eine optimale Leistung der Schicht zu erzielen.
- Zulässige Bond-Scherspannung: Dieser Wert definiert die interlaminare Scherspannung eines Verbundmaterials. Dieser Wert ist erforderlich, damit ein Verbund-Fehlerindex ausgegeben werden kann.
- Abstand der unteren Fasern: Entspricht vorgabemäßig der Hälfte der Gesamtdicke. Sie können diesen Wert ändern, indem Sie das Kontrollkästchen links aktivieren und einen neuen Wert in das Feld auf der rechten Seite eingeben.
- GE (Dämpfungskoeffizient): Dieser Wert definiert den Dämpfungskoeffizienten der Strukturelemente, der das Doppelte des kritischen Dämpfungsverhältnisses
beträgt, das für dynamische Analysen verwendet wird. Dies soll in späteren Versionen unterstützt werden.
- NSM: Ermöglicht die Definition einer nichtstrukturellen Masse pro Flächeneinheit.
(Ref.- Temperatur): Dieser Wert definiert die Referenztemperatur der Verbundschichten (aller Schichten) für temperaturabhängige Materialeigenschaften. Diese Funktion wird in späteren Versionen unterstützt.
(Gesamtdicke): Zeigt die Gesamtdicke, die im Laminat angegeben ist.
-
Techniken zur Erstellung von Schichten:
- Es gibt viele praktische Möglichkeiten zum Definieren der verschiedenen Schichteigenschaften.
- Klicken Sie für die erste Zeile auf Hinzufügen, klicken Sie in die Spalte Material der Zeile, und wählen Sie ein Material. Die Vorgabewerte für die übrigen Spalten werden automatisch geladen.
- Wählen Sie nun die Schicht-ID 1 aus.
- Geben Sie 2 in das Feld neben der Wiederholen-Schaltfläche ein (der Vorgabewert ist 1), und klicken Sie auf die Schaltfläche Wiederholen. Die erste Zeile wird zweimal kopiert. Die folgende Abbildung zeigt das Ergebnis.
- Ändern Sie die Winkel von oben nach unten in 45, 0 und -45.
- Wählen Sie nun alle Schichten aus. Klicken Sie dann auf die Schaltfläche Symmetrisch.
- Dadurch werden gespiegelte Zeilen der ausgewählten Schichten erstellt.
- Die folgende Abbildung zeigt das Ergebnis.
- Bei Auswahl von Anti-Symmetrisch werden ebenfalls gespiegelte Zeilen erstellt, jedoch mit entgegengesetzten Vorzeichen für die Schichtwinkel.
- Sie können mehrere Schichten auswählen und dann zum Ändern mit der rechten Maustaste auf ein Feld klicken. Wählen Sie dann Bearbeiten.
- Ändern Sie die entsprechende Eigenschaft einer Schicht. Alle entsprechenden Eigenschaften werden gleichzeitig geändert.
-
Beispiel für das Laminat-Dialogfeld:
- Die Layup-Konfiguration in diesem Beispiel enthält drei Schichten:
- Für die Konfiguration einer Verbundebenen-Eigenschaft mit drei Schichten würde das Laminat-Dialogfeld die folgenden Einträge enthalten. Beachten Sie, dass die Eigenschaft von unten nach oben definiert wird.
- Der Wert für Abstand der unteren Fasern wird automatisch aktualisiert (-1/2 Gesamtdicke). Dies ist der Abstand von der Referenzebene zur unteren Oberfläche. Schicht 1 ist die unterste Schicht, und die letzte definierte Schicht ist die oberste Schicht (Schicht 3 in diesem Fall).
- Klicken Sie auf die Schaltfläche Vorschau
, um die Optionen Layup anzeigen und ABD-Matrix anzeigen einzublenden.
- Die Optionen Layup anzeigen und ABD-Matrix anzeigen werden einzeln eingeblendet, wenn Sie auf
klicken. Zum Ausblenden klicken Sie auf die Schaltfläche
.
- Layup anzeigen: Zeigt die grafische Darstellung der definierten Schichten.
- ABD-Matrix anzeigen: Die entsprechenden Laminateigenschaften werden in einer ABD-Matrix zusammen mit der Anzahl der Schichten und der in der Schicht definierten Gesamtdicke angezeigt.
- Popup-Menü: Wenn Sie mit der rechten Maustaste auf die Zeilen klicken, wird das Popup-Menü eingeblendet, wie unten gezeigt:
- Schicht hinzufügen: Hiermit können Sie eine neue Schicht hinzufügen.
- Bearbeiten: Hiermit können Sie die Eigenschaft bearbeiten. Wählen Sie eine beliebige Eigenschaft, z. B. Material, globale Schicht oder Dicke. Wenn Sie eine Mehrfachauswahl treffen und dann auf Bearbeiten klicken, wird der Wert in allen Schichten geändert.
- In globale Schicht umwandeln: Hiermit können Sie eine normale Schicht in eine globale Schichtdefinition umwandeln.
- Ausschneiden: Hiermit schneiden Sie die ausgewählte(n) Schicht(en) aus.
- Kopieren: Hiermit kopieren Sie die ausgewählte(n) Schicht(en).
- Einfügen: Hiermit fügen Sie die Schicht(en) ein, die Sie zuvor ausgeschnitten oder kopiert haben. Verschiedene Optionen sind verfügbar: Über einfügen, Oberhalb einfügen, Unterhalb einfügen, Oberhalb symmetrisch einfügen, Unterhalb symmetrisch einfügen, Oberhalb anti-symmetrisch einfügen, Unterhalb anti-symmetrisch einfügen.
- Rückgängig: Hiermit machen Sie den letzten Vorgang rückgängig.
- Wiederherstellen: Hiermit stellen Sie den letzten Vorgang wieder her.
- Löschen: Hiermit löschen Sie die ausgewählte(n) Schicht(en).
- Schichten umkehren: Hiermit können Sie die Schicht(en) umkehren, die Sie ausgewählt haben.