Analysemerkmale
Verweis
Massey, Bernard Stanford, Mechanics of Fluids, 3rd Edition, Van Nostrand Reinhold Co, 1975, S. 347.
Problembeschreibung
In diesem Testmodell fällt eine Titankugel durch eine Säule aus Glyzerin. Die Bewegungsfunktion wird verwendet, um die Endgeschwindigkeit der Kugel vorherzusagen.
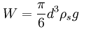
Ein fallendes Objekt erreicht eine Endgeschwindigkeit, wenn das Gewicht des Objekts durch die natürliche Konvektion und die Widerstandskräfte des umgebenden Fluids ausgeglichen wird:
W = Fb + D
W = Gewicht des Objekts
Fb = durch natürliche Konvektion wirkende Kraft
D = Widerstandskraft
Für eine Kugel lassen sich die drei in der obigen Gleichung auftretenden Größen wie folgt bestimmen:
Die resultierende Endgeschwindigkeit ergibt sich wie folgt:
Dabei gilt:
= Fluiddichte
s = Festköperdichte
= Kugelprojektionsfläche
Geometrie und Randbedingungen
Alle Bemaßungen sind in Meter:
Das Modell wurde als axialsymmetrisch berechnet.
Ergebnisse
| Benchmark | 2017: Build 20160302 | % Fehler | 2018: Build 20170308 | % Fehler |
| Vt (m/s) = 6.469 | Vt (m/s) = 6.085 | 5.942 | Vt (m/s) = 6.085 | 5.942 |