Fluidströmung - Definitionen

Nicht kompressibel - kompressibel

Der Begriff "kompressibel" bezieht sich auf die Beziehung zwischen Dichte und Druck. Wenn eine Strömung kompressibel ist, wirken sich Änderungen beim Fluiddruck auf seine Dichte aus und umgekehrt. Kompressible Strömungen betreffen Gase bei sehr hohen Geschwindigkeiten.

Ein wichtiger Unterschied zwischen kompressibler und nicht kompressibler Strömung ist sowohl in der physischen Eigenschaft von Druck und damit auch in dem mathematischen Charakter der Druckgleichung zu sehen. Bei der nicht kompressiblen Strömung werden Auswirkungen stromabwärts sofort überall wahrgenommen, und die Druckgleichung ist mathematisch elliptisch, sodass stromabwärts Randbedingungen erforderlich sind. Bei der kompressiblen Strömung, besonders bei Überschallströmungen, kann Druck stromabwärts nicht zu Auswirkungen stromaufwärts führen, und die Druckgleichung ist hyperbolisch und erfordert nur stromaufwärts Randbedingungen.

Begrenzungen stromabwärts müssen frei von Druckabhängigkeiten bleiben.

Machzahl

Ein Maß für die Kompressibilität ist die Machzahl, definiert als die Fluidgeschwindigkeit geteilt durch die Schallgeschwindigkeit, definiert als:

wobei a die Schallgeschwindigkeit ist, Gamma das Verhältnis der jeweiligen Wärmen, R die allgemeine Gaskonstante und T die statische Temperatur. Bei Machzahlen unter 0.3 kann von nicht kompressiblen Strömungen ausgegangen werden. Über diesem Wert haben kompressible Effekte einen höheren Einfluss und müssen für genaue Lösungen berücksichtigt werden.

Adiabatisch kompressibel

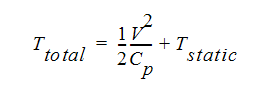
Wenn es keine Wärmeübertragungseffekte gibt und das Fluid sich unter Schallgeschwindigkeit (Mach = 1.0) bewegt, kann die Strömung als adiabatisch angesehen werden. Für diese Art der Strömung bleibt die Gesamtenergie erhalten. Das heißt, die Summe der kinetischen und thermischen Energie ist eine Konstante. In Gleichungsform kann dies folgendermaßen ausgedrückt werden:

wobei V die Geschwindigkeit ist und h die volumetrische Enthalpie, ein Maß für die Energie. Ausgehend von einem idealen Gas kann diese Gleichung mit Temperatur geschrieben werden:

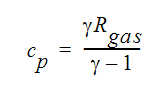
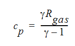
wobei Cp der Wert für die mechanische spezifische Wärme ist, berechnet mit:

wobei das Verhältnis der spezifischen Wärme bei konstantem Druck zur spezifischen Wärme bei konstantem Volumen ist und Rgas die Gaskonstante für dieses Gas. Die Gesamttemperatur wird auch als Stagnationstemperatur bezeichnet. Der erste Term auf der rechten Seite dieser Gleichung wird als dynamische Temperatur bezeichnet.

Schallnahe, Überschall- und Hyperschallströmung

Diese drei Begriffe sind Klassifizierungen für kompressible Strömungen. Schallnahe Strömung erreicht oder liegt in der Nähe der Schallgeschwindigkeit. Überschall bezieht sich auf den Machzahlbereich: 1<Ma<5. Strömungen mit Machzahlen höher als 5 werden als Hyperschallströmungen bezeichnet. Schallnahe und Überschallströmungen können mit einem angenommenen idealen Gas modelliert werden:

Hyperschallströmungen können nicht mit einem angenommenen idealen Gas modelliert werden; bei ihnen müssen Effekte realer Gase berücksichtigt werden.

Absolute Werte, Gesamtwerte, statische und dynamische Werte

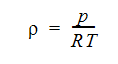
Der Begriff "absolut" wird in Verbindung mit Druck verwendet. Normalerweise ist die Lösung der Druckgleichung ein relativer Druck. Dieser relative Druck enthält nicht die Gravitationshöhe, die Rotationshöhe oder den Referenzdruck. Es ist der Teil des Drucks, auf den sich die Geschwindigkeiten in der Impulsgleichung direkt auswirken. Beim absoluten Druck werden die Gravitations- und die Rotationshöhe und der Referenzdruck zu dem aus der Druckgleichung berechneten Druck hinzugefügt. Bezogen auf den relativen Druck Prel wird der absolute Druck wie folgt berechnet:

Der tiefgestellte Text ref bezieht sich auf die Referenzwerte, das tiefgestellte Zeichen i bezieht sich auf die drei Koordinatenrichtungen, g ist die Gravitationsbeschleunigung, und ist die Rotationsgeschwindigkeit. Die Referenzdichte wird am Anfang der Analyse anhand des Referenzdrucks und der Referenztemperatur berechnet. Für Strömungen mit einer konstanten Dichte ist die Referenzdichte der konstante Wert. Für Strömungen ohne Gravitations- oder Rotationshöhe ist der relative Druck der Überdruck.

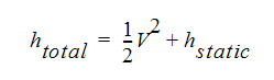
Die Begriffe "dynamisch" und "statisch" werden am häufigsten für kompressible Fluide verwendet. Die dynamischen Werte sind der kinetischen Energie entsprechende Terme:

Beachten Sie, dass die spezifische Wärme zur Berechnung der dynamischen Temperatur nicht der im Eigenschaftenfenster eingegebene thermische Wert ist, sondern ein mechanischer Wert, der wie folgt berechnet wird:

wobei das Verhältnis der spezifischen Wärme bei konstantem Druck zur spezifischen Wärme bei konstantem Volumen ist und Rgas die Gaskonstante für dieses Gas.

Die statische Temperatur wird durch Lösen der Energiegleichung bestimmt. Für adiabatische Eigenschaften ist die Energiegleichung, die zur Bestimmung der statischen Temperatur verwendet wird, die Konstantengleichung für die Gesamttemperatur. Somit ist die statische Temperatur die Gesamt- oder Stagnationstemperatur abzüglich der dynamischen Temperatur.

Der statische Druck ist der oben angegebene absolute Druck. Die Gesamttemperatur ist die Summe aus statischer und dynamischer Temperatur. Der Gesamtdruck ist die Summe aus statischem oder absolutem Druck und dem dynamischen Druck.

Laminar - turbulent

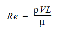
Die laminare Strömung ist durch eine weiche, stetige Bewegung des Fluids charakterisiert. Eine turbulente Strömung ist eine fluktuierende und unruhige Bewegung. Das Maß dafür, ob eine Strömung laminar oder turbulent ist, ist die Geschwindigkeit des Fluids. Eine laminare Strömung ist in der Regel viel langsamer als eine turbulente Strömung. Die dimensionslose Kennzahl, mit der eine Strömung als laminar oder turbulent klassifiziert wird, ist die Reynoldszahl, die wie folgt definiert ist:

wobei die Dichte ist, V die Geschwindigkeit und die Viskosität. Für Reynoldszahlen über ~ 2500 zeigt die Strömung Phänomene einer turbulenten Strömung. Die meisten Strömungen in der Technik sind turbulente Strömungen.

Zwischen dem laminaren und dem turbulenten Strömungsregime liegt das Übergangsströmungsregime. In diesem Strömungsregime durchläuft die Strömung mehrere Phasen mit nicht linearem Verhalten, bevor sie zu einer vollständig turbulenten Strömung wird. Diese Phasen sind sehr instabil. Die Strömung kann schnell von einem Verhalten (z. B. turbulente Punkte) zu einem anderen (z. B. Wirbelaufplatzen) und wieder zurück wechseln. Aufgrund der Instabilität dieses Strömungstyps sind numerische Vorhersagen schwierig.

Reibungsfreie/viskose Strömung

Strömungen, für die Viskosität oder Schereffekte vernachlässigt werden, werden als reibungsfrei bezeichnet. Viskose Strömungen umfassen Viskosität oder Schereffekte. Alle Fluids weisen Viskosität auf. Es gibt jedoch eine begrenzte Anzahl von Anwendungen, bei denen die Schereffekte vernachlässigt werden können und es möglich ist, aussagekräftige Ergebnisse zu erhalten.

Reibungsfreie Strömungen sind eine Klasse von idealen Strömungen, die mithilfe von Euler-Gleichungen gelöst werden. Diese Gleichungen sind eine Untergruppe der Navier-Stokes-Gleichungen. Bei einigen Codes für kompressible Strömungen werden die Euler-Gleichungen statt der Navier-Stokes-Gleichungen gelöst. Die Euler-Gleichungen sind numerisch leichter zu lösen, da sich der mathematische Charakter der Gleichungen nie ändert. Wenn Sie viskose Effekte einbeziehen, enthält die Lösungsdomäne Bereiche, in denen elliptische Effekte dominieren, und auch Bereiche, in denen hyperbolische Effekte dominieren. Dieses Problem ist sehr viel schwieriger.

Wenn die reibungsfreie Strömung außerdem drehungsfrei ist, können Sie zur Darstellung der Strömung eine Strömungspotential-Funktion definieren. Eine solche Strömung wird als Potentialströmung bezeichnet. Dieser Strömungstyp ist numerisch noch immer einfacher als das Lösen von Euler-Gleichungen, da zur Bestimmung aller Strömungsparameter eine einzelne Gleichung gelöst werden kann. Die Annahmen "reibungsfrei" und "drehungsfrei" sind sehr einschränkend. Lösungen für Potentialströmungen können jedoch für eine sehr eingeschränkte Klasse von Fluid-Strömungsproblemen einige Informationen zu Strömungsmustern bieten.

Begrenzungs-Layer-Strömung

Wenn ein Fluid über eine starre Oberfläche strömt, bildet sich ein Begrenzungs-Layer. Dieser Begrenzungs-Layer wächst bei der Bewegung entlang der Oberfläche. Die Fluid-Scherspannung ist größtenteils im Begrenzungs-Layer enthalten. Begrenzungs-Layer-Strömung bezieht sich auf eine Klasse von Strömungsproblemen, die sich in erster Linie mit dem Wachstum dieser Scherschicht befassen. Die Begrenzungs-Layer-Strömung kann neben einer Oberfläche oder einer Jet-Wake-Strömung auftreten.

Für die meisten Begrenzungs-Layer-Strömungen ist der Druck im Begrenzungs-Layer nahezu konstant. Außerhalb des Begrenzungs-Layer kann der Druckgradient stark variieren, und dies hat Auswirkungen auf die Begrenzungs-Layer-Strömung. Diese Art der Strömung ist mathematisch als parabolisch charakterisiert, da die Informationen im Wesentlichen in eine Richtung gehen, entlang der Richtung des Begrenzungs-Layer-Wachstums.

Newtonsches oder nichtnewtonsches Fluid

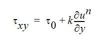
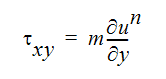
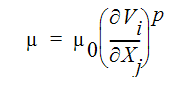
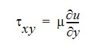
Ein newtonsches Fluid ist ein Fluid, das eine lineare Beziehung zwischen Fluid-Scherspannung und Dehnung aufweist:

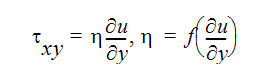
wobei die Fluid-Scherspannung ist, der Geschwindigkeitsgradient eine Komponente des Dehnungsgrad-Tensors darstellt und der Koeffizient der Viskosität ist. Für newtonsche Fluids ist die Viskosität entweder konstant oder eine Funktion der Temperatur. Für nichtnewtonsche Fluids ist die Scherspannung eine nichtlineare Funktion des Dehnungsgrads, da die Viskosität auch eine Funktion des Dehnungsgrads ist:

Für ein nichtnewtonsches Potenzgesetz-Fluid wird die Scherspannung wie folgt ausgedrückt:

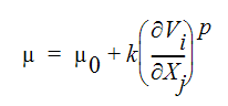
wobei m der Konsistenz- und n der Potenzgesetzindex ist. In Bezug auf Viskosität kann diese Gleichung wie folgt geschrieben werden:

wobei und p = n - 1

Ein nichtnewtonsches Herschel-Buckley-Fluid kann wie folgt beschrieben werden:

In Bezug auf Viskosität kann dies wie folgt geschrieben werden:

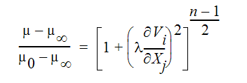
Eine weitere Darstellung eines nichtnewtonschen Fluids ist ein Carreau-Modell-Fluid:

Die meisten Strömungen in der Technik sind newtonsch (Luft, Wasser, Öl, Dampf ...). Zu den Fluids, die als nichtnewtonsch gelten, gehören Kunststoff, Blut, Schlämme, Gummi und Papierbrei.

Wärmeübertragung durch Leitung, Konvektion, Kombination und Strahlung

Es gibt drei Modi, in denen Wärme übertragen werden kann. In der Leitung wird Wärme durch molekulare Bewegung übertragen. Die Geschwindigkeit der Wärmeübertragung ist abhängig von der Wärmeleitfähigkeit. Wärmeübertragung durch Konvektion bezieht sich auf Wärme, die durch die Bewegung von Fluids transportiert wird. Wärmeübertragung durch Strahlung ist ein elektromagnetisches Phänomen, das von den optischen Bedingungen der Strahlungsmedien abhängt. Kombinierte Wärmeübertragung bezieht sich auf die Kombination aus zwei oder allen drei dieser Modi für die Wärmeübertragung.

Strahlung von Oberfläche zu Oberfläche

Für die meisten technischen Anwendungen findet der Austausch von Strahlungsenergie von einer festen Oberfläche zu einer anderen statt. Das in den Festkörpern enthaltene Gas ist in der Regel nicht partizipierend. Die Ausnahme von dieser Regel bilden Fälle, in denen das Gas verbrennt oder wie in einem Heizkessel erwärmt wird. Der Strahlungsaustausch von Oberfläche zu Oberfläche beeinflusst die Oberflächentemperaturen und somit die Gastemperaturen über Konvektion und Leitung. Um den Strahlungsaustausch in die zugrunde liegenden Gleichungen einzubeziehen, wird ein zusätzlicher Wärmestrom-Term, qri, zu den Wandflächenelementen hinzugefügt. Dieser Term wird berechnet aus:

wobei qri der Nettowärmestrom zum Fluid an Element i von der Strahlung von Oberfläche zu Oberfläche darstellt. Gi ist die auf die Fläche von Element i einfallende Strahlung, und Ji ist die Radiosität der Elementfläche i. Die Radiosität kann wie folgt geschrieben werden:

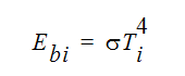
wobei das Emissionsvermögen ist, der Transmissionsgrad der Elementoberfläche i und Ebi

der Emissionsgrad eines schwarzen Körpers von Elementoberfläche i:

wobei die Stefan-Boltzman-Konstante ist. Die einfallende Strahlung kann berechnet werden aus:

wobei Fi=j der Ansichtsfaktor zwischen Elementoberfläche i und Elementoberfläche j ist. Somit erfordert die Berechnung des Strahlungswärmestroms die Berechnung von Ansichtsfaktoren zwischen allen Elementoberflächen.

Autodesk® CFD verwendet zwei innovative Ansätze für die Berechnung der Ansichtsfaktoren. Bei der ersten, älteren Methode (Wärmestrahlungsmodell 1) wird ein Hybridmodell mit Raytracing und diskreten Ordinaten verwendet. In diesem Modell wird eine Halbkugel berücksichtigt, die jede externe Elementoberfläche umgibt. Die Halbkugel ist in eine Reihe von einzelnen Strahlen unterteilt. Autodesk® CFD sucht diese Strahlen, um zu ermitteln, auf welche anderen Flächen die Strahlen treffen, und den Strahlungsaustausch über diese Flächen zu verteilen. Diese Verteilung ist der Ansichtsfaktor zwischen den externen Oberflächen.

In der zweiten und neueren Methode (Wärmestrahlungsmodell 4) projiziert Autodesk® CFD ein Bild der umgebenden Elementoberflächen auf eine Kugel, die die betreffende Elementoberfläche umgibt. Dadurch wird eine Bitmap der Umgebung auf dieser Kugel erstellt. Aus dieser Projektion kann Autodesk® CFD die exakten Ansichtsfaktoren berechnen. In diesem Fall sind die Ansichtsfaktoren so genau wie die Pixelauflösung der Bitmap. In einem zweiten Schritt in dieser Methode stellt Autodesk® CFD die Reziprozität der Ansichtsfaktoren sicher:

Diese Erzwingung der Reziprozität der Ansichtsfaktoren erzwingt wiederum eine sehr strikte Strahlungsenergie-Balance. Diese Methode ist zwar genauer als die erste Methode, erfordert aber (zumindest vorübergehend) mehr Speicher und CPU-Zeit zum Berechnen der Ansichtsfaktoren. Diese Berechnung erfolgt aber einmal und wird für neu gestartete kontinuierliche Analysen gespeichert.

Eine weitere Funktion des Wärmestrahlungsmodells 4 besteht darin, dass die Ansichtsfaktorberechnung es Autodesk® CFD ermöglicht, einen Wärmestrom der Sonneneinstrahlung einzubeziehen. Für die Einbeziehung der Sonneneinstrahlung stellt eine Wölbung über dem analysierten Körper den Himmel dar. Die Ansichtsfaktoren zwischen dieser Himmelswölbung und dem Körper bestimmen die Sonnenbelastung des Körpers. Der Solarwärmestrom wird automatisch von Autodesk® CFD je nach Tageszeit, Breitengrad und Längengrad berechnet.

Natürliche, gemischte und erzwungene Konvektion

Diese Begriffe beziehen sich auf die Art der Wärmeübertragung. Bei der natürlichen Konvektion wird die Fluidbewegung von Temperaturunterschieden generiert oder zumindest dominiert. Sie wirken sich auf die Fluideigenschaften aus, vor allem auf die Dichte. Diese Strömungen werden auch als auftriebsgetriebene Strömungen bezeichnet, da der Gravitationsterm oder der Auftriebsterm in den Impulsgleichungen die Strömung dominiert. Umgekehrt gilt, dass bei Strömungen mit erzwungener Konvektion die Temperatur von der Fluidbewegung dominiert wird und Auftrieb oder Gravitation kaum oder keine Auswirkungen hat. Gemischte Konvektion ist eine Kombination dieser beiden, bei der die Fluidbewegung und Auftrieb beide eine Rolle spielen können. Natürliche Konvektion hat häufig keine Öffnungen oder eindeutig definierten Einlässe. Erzwungene Konvektion verfügt wie die gemischte Konvektion immer über einen oder mehrere Einlass- und Auslassbereiche. Freie Konvektion ist ein nicht umschlossenes oder offenes Problem der natürlichen Konvektion.

In Autodesk® CFD wird nicht die Boussinesq-Näherung verwendet, die von einer konstanten Dichte in den zugrunde liegenden Gleichungen ausgeht. Stattdessen wird die Annahme der niedrigen Machzahl für die Druckzerlegung verwendet:

wobei Pref ein konstanter Referenzdruck ist (in der Regel der Atmosphärendruck), eine Referenzdichte (Dichte bei Referenzdruck und -temperatur), gi der Gravitationsvektor und xi der Abstandsvektor vom Ursprung. Mit dieser in die Impulsgleichungen substituierten Gleichung wird die neue abhängige Variable p*. Mit der Subtraktion der Förderhöhe (zweiter Term auf der rechten Seite) wird die numerische Stabilität erheblich verbessert.

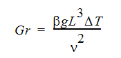
Konvektionsprobleme können laminar oder turbulent sein. Für die erzwungene Konvektion und die meisten Probleme bei der gemischten Konvektion ist wiederum die Reynoldszahl das Maß für die Bestimmung der Strömungsregime. Für Strömungen mit natürlicher Konvektion ist die Grashofzahl das Maß. Die Grashofzahl ist definiert als:

wobei der volumetrische Ausdehnungskoeffizient ist, g die Gravitationsbeschleunigung, L eine charakteristische Länge, T die Temperatur und die kinematische Viskosität. In einigen Fällen wird auch die Rayleighzahl, eine Kombination aus der Grashof- und der Prandtlzahl, referenziert.

Die Prandtlzahl ist definiert als:

Die Rayleighzahl ist definiert als:

wobei Cp die spezifische Wärme bei konstantem Druck ist, die absolute Viskosität, die Dichte und k die Wärmeleitfähigkeit.

Wärmeübergangskoeffizienten

Autodesk® CFD berechnet Wärmeübergangskoeffizienten (Konvektion) mit einer der folgenden Methoden. Die erste Möglichkeit ist die Berechnung des Restwerts der Wärmeübertragung. Der Restwert der Wärmeübertragung wird berechnet, indem die Energiegleichung gebildet und die letzte Lösung für die Temperatur (oder die Enthalpiewerte) in die gebildeten Gleichungen substituiert wird. Der Restwert ist die Wärmemenge, die benötigt wird, um die Lösungstemperatur aufrechtzuerhalten.

Der Restwert der Wärmeübertragung wird zur Bestimmung des Wärmeübergangskoeffizienten aus der Beziehung verwendet:

wobei der Temperaturunterschied der Unterschied zwischen dem Wert der Wand und dem Wert einer nahen Wand ist.

Die zweite Methode ist die Verwendung einer empirischen Korrelation auf Grundlage der Reynoldszahl. Die empirische Korrelation erfordert die Berechnung der Nusseltzahl, die wie folgt definiert ist:

wobei h der Wärmeübergangskoeffizient ist, L eine charakteristische Länge und k die Wärmeleitfähigkeit. Die Nusseltzahl ist das Verhältnis der Wärmeübertragung durch Konvektion zur Wärmeübertragung durch Leitung. Für die Berechnung der Nusseltzahl wird von Autodesk® CFD folgende Korrelation verwendet:

wobei Pr die Prandtlzahl ist und a, b und C Konstanten sind. Beachten Sie, dass die Nusseltzahl und die Reynoldszahl von einer Länge abhängen. Diese Längen sind nicht unbedingt gleich und unterscheiden sich häufig. Die Länge der Reynoldszahl ist in der Regel die Länge einer Öffnung, ein Zylinderdurchmesser oder eine Schritthöhe. Die Länge der Nusseltzahl ist in der Regel die Länge entlang der Oberfläche, für die Wärmeübergangskoeffizienten berechnet werden.

Masse- und Durchschnittsgrößen

Es gibt zwei Methoden, um die Durchschnittswerte der abhängigen Variablen darzustellen. Die erste Methode, die verwendet werden kann, ist der Massewert, ein massengewichteter Mittelwert, der wie folgt berechnet wird:

In dieser Gleichung wird die Masse an einer Position in der Lösungsdomäne berechnet. Das Integral in dieser Gleichung wird für alle Flächen des Elements an dieser Position berechnet.

Eine andere Methode zur Berechnung der Durchschnittsgrößen ist die Verwendung des arithmetischen Mittelwerts, der wie folgt berechnet wird:

Anhand dieser beiden Gleichungen können Sie sehen, dass der massengewichtete Mittelwert möglicherweise nicht dem arithmetischen Mittelwert entspricht. Der arithmetische Mittelwert der Geschwindigkeit entspricht beispielsweise dem Wert, der sich bei folgender Berechnung ergäbe:

Die Massegeschwindigkeit erfüllt aber möglicherweise nicht diese Gleichung.

Strömungswiderstände

Für Geometrien mit zahlreichen Strömungshindernissen können Strömungswiderstände verwendet werden, um die Gesamtgröße (Anzahl der finiten Elemente) des Problems zu reduzieren. Anstatt jedes Strömungshindernis mit den Details zu modellieren, die zum Lösen von Druck- und Geschwindigkeitsgradienten benötigt werden, können die Strömungshindernisse in einem wesentlich größeren Maßstab modelliert und durch einen Senkenterm in den Impulsgleichungen dargestellt werden. Sie werden als zusätzlicher Druckabfall modelliert. So kann z. B. in einem Rohrbündel-Wärmetauscher der Rohrbereich mit einem Term für den verteilten Widerstand modelliert werden, anstatt dass jedes Rohr einzeln modelliert wird. Diese Modellierungstechnik kann verwendet werden, um Öffnungen, Lamellenluftschlitze, Festbetten, Gitter, Rohrpakete, Platinengehäuse, Filter und andere durchlässige Medien zu modellieren.

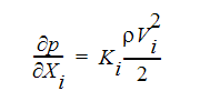
Terme für Strömungswiderstände können drei Formen annehmen. Die erste Form ist der Verlustkoeffizient, bei dem der Überdruckgradient wie folgt dargestellt wird:

wobei i eine globale Koordinatenrichtung angibt. Der K-Faktor kann anhand von Messungen des Druckverlusts im Vergleich zum Durchfluss bestimmt werden. Dieser Faktor ist auch in Handbüchern zum Fluidwiderstand aufgeführt, z. B.: Handbook of Hydraulic Resistance, 3. Auflage von I.E. Idelchik, herausgegeben von CRC Press, 1994 (ISBN 0-8493-9908-4). Beachten Sie, dass der K-Faktor für Autodesk® CFD Einheiten von length-1 besitzt. In den meisten Handbüchern wird ein einheitsloser K-Faktor verwendet.

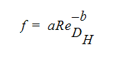
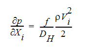
Die zweite Form für die Eingabe von Strömungswiderständen ist die Reibungsfaktormethode. In dieser Form wird der Überdruckgradient wie folgt dargestellt:

wobei f der Reibungsfaktor ist und DH der hydraulische Durchmesser. Der Reibungsfaktor kann mit der Moodybeziehung berechnet werden:

wobei die Oberflächenrauheit in Längeneinheiten ist und DHH der hydraulische Durchmesser in Längeneinheiten.

Der Reibungsfaktor kann auch mit der folgenden Beziehung berechnet werden:

wobei a und b Konstanten sind.

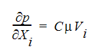
Die letzte Form für die Terme der Strömungswiderstände folgt der Darcybeziehung:

wobei C als der Viskositätskoeffizient bezeichnet wird und die Umkehrung der Durchlässigkeit ist, die Viskosität des Fluids.

Welche Form verwendet werden sollte, hängt von den verfügbaren Informationen ab. Wie bereits erwähnt: Wenn Vergleichsdaten zu Druckverlust und Durchfluss zur Verfügung stehen, ist die K-Faktor-Methode wahrscheinlich die beste Methode. Für einige Festbetten ist möglicherweise die Durchlässigkeit verfügbar und die letzte Form die beste. Für Geometrien mit großen Rohrpaketen kann der Reibungsfaktor die geeignetste Form sein.