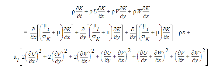
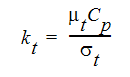
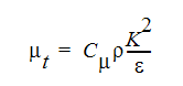
Mehrere der von Autodesk® CFD eingesetzten Turbulenzmodelle verwenden ein Modell mit zwei Gleichungen zur Bestimmung der Variablen für die Wirbelviskosität und -leitfähigkeit. Die beiden Gleichungen beschreiben den Transport der turbulenten kinetischen Energie, K, und der turbulenten Energiedissipation, . Die Wirbelviskosität und -leitfähigkeit werden berechnet mit:
wobei
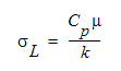
eine turbulente Prandtlzahl ist, bei der in der Regel von 1.0 ausgegangen wird, und
eine empirische Konstante ist. Die Transportgleichungen für K und
werden mit Momenten der Impulsgleichungen abgeleitet. Für das vorgegebene k-epsilon-Turbulenzmodell mit hoher Reynoldszahl sind dies:
Gleichung für turbulente kinetische Energie (TKE):
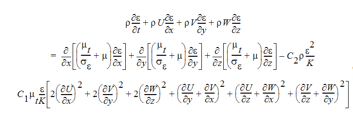
Gleichung für turbulente Energiedissipation (TED):
wobei
und
turbulente Schmidtzahlen sind, und C1 und C2 sind empirische Konstanten. Alle mit diesem Modell zusammenhängenden modellierten Konstanten sind in der folgenden Tabelle aufgeführt. Mit diesen beiden Gleichungen gibt es jetzt 9 Gleichungen in 9 Unbekannten:
.
| Konstante | Wert | Autodesk® CFD | Ergebnis bei Erhöhung des Werts |
|
0.09 | CMu | Mehr Mischung, höhere Scherung, größere Druckänderung |
| C1 | 1.44 | CE1 | Weniger Mischung, niedrigere Scherung, geringere Druckänderung |
| C2 | 1.92 | CE2 | Mehr Mischung, höhere Scherung, größere Druckänderung |
|
1.0 | (Nicht verfügbar für die Bearbeitung durch Benutzer) | |
|
1.3 | (Nicht verfügbar für die Bearbeitung durch Benutzer) |
Das gerade beschriebene Turbulenzmodell mit zwei Gleichungen wird für zahlreiche Anwendungen verwendet und eignet sich in der Regel gut für die meisten technischen Anwendungen. Bei diesem Modell werden Ablösungspunkte aber nicht so genau vorhergesagt, wie es manchmal erforderlich ist. Zur Verbesserung der Ablösungsprognose, ohne die Komplexität bei der Analyse und im Allgemeinen bei der Möglichkeit einer Lösungsfindung erheblich zu steigern, steht mit dem RNG-Modell mit zwei Gleichungen ein weiteres Modell in Autodesk® CFD zur Verfügung. In diesem Modell werden die Impulsgleichungen in Wellenzahlenraum transformiert, und es wird die Renormierungsgruppen-Theorie verwendet, um die Gleichungen für die Berechnung der Wirbelviskosität abzuleiten. Da die resultierenden Gleichungen eine stabilere theoretische Grundlage besitzen, sind die mit dem RNG-Modell erhaltenen Ergebnisse in der Regel genauer. Dieses Modell ist aber numerisch weniger stabil und kann damit von weiteren Konvergenzschwierigkeiten betroffen sein. Es ist wahrscheinlich am besten, wenn Sie eine Analyse mit dem ursprünglichen Modell mit zwei Gleichungen beginnen und dann an einem Punkt zum RNG-Modell wechseln.
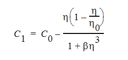
Das RNG-Turbulenzmodell ist auch ein Turbulenzmodell für die Wirbelviskosität. Die turbulente kinetische Energie und die turbulente Dissipationsrate werden wie zuvor berechnet. Der Unterschied zwischen den beiden Turbulenzmodellen liegt in der Bestimmung der Konstanten in Tabelle 2. Die Werte für das RNG-Modell sind in Tabelle 3 aufgeführt, wobei C1 mit dem folgenden Ausdruck berechnet wird:
wobei
definiert ist als:
| Konstante | Wert | Autodesk® CFD | Ergebnis bei Erhöhung des Werts |
|
0.085 | CMu | Mehr Mischung, höhere Scherung, größere Druckänderung |
| C0 | 1.42 | RNG CE0 | Weniger Mischung, niedrigere Scherung, geringere Druckänderung |
| C2 | 1.68 | CE2 | Mehr Mischung, höhere Scherung, größere Druckänderung |
|
0.015 | RNG Beta | Mehr Mischung, höhere Scherung, größere Druckänderung |
|
4.38 | RNG Eta | Mehr Mischung, höhere Scherung, größere Druckänderung |
|
0.7179 | (Nicht verfügbar für die Bearbeitung durch Benutzer) | |
|
0.7179 | (Nicht verfügbar für die Bearbeitung durch Benutzer) |
Die beiden oben beschriebenen Turbulenzmodelle sind für Strömungen mit hoher Reynoldszahl oder für Strömungen geeignet, bei denen das dominierende Strömungsregime vollständig turbulent ist. In folgenden Fällen kann es aber bei den oben angegebenen Modellen zu Ungenauigkeiten kommen: Strömungen, bei denen große Bereiche der Problemdomäne laminar sind, oder Strömungen, die als turbulente Strömung beginnen, aber in einem laminaren Strömungsregime enden (oder umgekehrt). Dies umfasst nicht die laminaren Bereiche in den Begrenzungs-Layern, tritt aber häufiger auf in Problemen mit großen, stagnierenden offenen Räumen oder Problemen mit zahlreichen Hindernissen, die möglicherweise die Strömung blockieren und die lokalen Strömungsgeschwindigkeiten verringern. In diesen Fällen ist ein Turbulenzmodell mit einer niedrigen Reynoldszahl besser geeignet. Das in Autodesk® CFD verwendete Modell ist wieder ein Modell mit zwei Gleichungen, das in die turbulente kinetische Energie, K, und die turbulente Energiedissipation aufgelöst wird. Für K wird folgende Gleichung verwendet:
Gleichung für turbulente kinetische Energie:
Die Gleichung für
ist:
Gleichung für turbulente Energiedissipation:
Die Konstanten in diese beiden Gleichungen entsprechen denen in der obigen Tabelle mit Ausnahme dieser beiden Konstanten:
wobei
dem Wert für das Modell mit hoher Reynoldszahl entspricht und Rt die Turbulenz-Reynoldszahl ist:
Die andere abweichende Konstante ist:
wobei
dem Wert für das Modell mit hoher Reynoldszahl entspricht und Rt wieder die Turbulenz-Reynoldszahl ist.
Zulauf-Randbedingung
Einlass-Randbedingungen müssen für K und
angegeben werden. In seltenen Fällen stehen diese Werte zur Verfügung. In den meisten praktischen Anwendungen ist dies nicht der Fall, und sie müssen geschätzt werden. Um zu diesen Schätzungen zu gelangen, werden einige Definitionen benötigt.
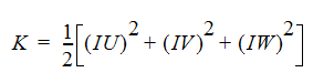
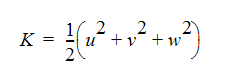
Die turbulente kinetische Energie wird definiert als:
wobei die Geschwindigkeiten in dieser Gleichung der schwankende Teil der Geschwindigkeit sind. Die Turbulenzintensität wird definiert als:
Die Kombination der beiden obigen Gleichungen liefert eine Schätzung für die turbulente kinetische Energie für den Einlass auf der Grundlage der Einlass-Geschwindigkeitsverteilung:
Die Turbulenzintensität steht häufiger zur Verfügung oder kann einfacher geschätzt werden. Dieser Wert kann mit der Schaltfläche Turbulenz im Dialogfeld "Analyse" eingegeben werden. Er wird als die Turbulenzintensität aufgeführt. Vorgabemäßig werden 5 % für interne Strömungen und 1 % bei externen Strömungen verwendet. Wenn die Eingangsströmung sehr turbulent ist, z. B. wie bei Wirbelströmungen, kann der vorgegebene Wert durch einen höheren Wert im Bereich von 10-20 % ersetzt werden. Bei vielen internen Strömungen spielen die Einlasswerte keine wichtige Rolle bei den Effekten stromabwärts, wo die lokale Scherung die Turbulenzgrößen dominiert.
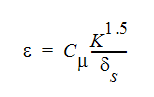
Die turbulente Energiedissipation kann als Längenmaß wie folgt definiert werden:
wobei
das Längenmaß ist. Das Längenmaß wird von Autodesk® CFD automatisch berechnet. Abhängig davon, ob die Strömung intern oder extern ist, wird ein anderes Maß verwendet. Autodesk® CFD bestimmt auch automatisch, ob die Strömung intern (zahlreiche Wände) oder extern (wenige Wände) ist.
Wandmodell
Beide im vorherigen Abschnitt erläuterten Turbulenzmodelle mit hoher Reynoldszahl gelten streng genommen nur im vollständig turbulenten Regime und nicht für die inneren Layer des Begrenzungs-Layer. Das oben erläuterte Modell mit niedriger Reynoldszahl gilt durchweg bis zur reibungsbehafteten Wand. Dieses Modell kann somit im Begrenzungs-Layer verwendet werden und gilt theoretisch auch für Relaminisierungszonen. Für das Modell mit niedriger Reynoldszahl müssen mehrere Knoten (3-10) im Begrenzungs-Layer platziert werden (y+-Werte von 1 bis 5). Dieses Kriterium wird höchstwahrscheinlich mit einem Randschichtnetz erfüllt. Die Randbedingungen für K und an den Wänden werden von Autodesk® CFD automatisch angewendet.
Für die Turbulenzmodelle mit hoher Reynoldszahl werden Wandfunktionen verwendet, um die turbulente Strömung neben der Wand zu modellieren. Die "Wandfunktionen" ersetzen das Turbulenzmodell in den Wandelementen und erfordern in der Regel nur die Platzierung eines Knotens im Begrenzungs-Layer. Die Verwendung von Wandfunktionen mit Turbulenzmodellen mit hohen Reynoldszahlen ist bei den meisten turbulenten Strömungen recht erfolgreich.
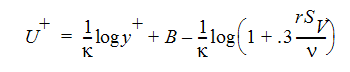
Die Wandfunktionen dienen hauptsächlich zur Erzwingung des Wandgesetzes, das wie folgt geschrieben werden kann:
wobei B und
dimensionslose Konstanten sind. Die inneren Variablen U+ und y+ sind wie folgt definiert:
wobei Ut die Geschwindigkeitstangente zur Wand ist,
die Wandscherspannung,
die Dichte,
der Abstand von der Wand und
die kinematische Viskosität. Autodesk® CFD passt die effektive Viskosität der Wand auf der Grundlage der Geschwindigkeit und der Fluideigenschaften neben der Wand an, um das Wandgesetz zu erzwingen. Mit Ausnahme der ablösenden Strömung ist das Wandgesetz im folgenden Bereich weitgehend gültig:
Die von Autodesk® CFD berechneten y+-Werte werden zum Plotten in die Postprozessor-Dateien ausgegeben. Bei einigen von Autodesk® CFD durchgeführten Überprüfungsproblemen wurde festgestellt, dass y+-Werte unter 35 in der Regel mit einer falsch negativen Vorhersage des Druckverlusts in internen Strömungen verbunden waren. Die Werte von y+ über 350 entsprachen einer falsch positiven Vorhersage des Druckverlusts in internen Strömungen. Außerdem ist es nicht ungewöhnlich, dass y+-Werte außerhalb dieses Bereichs am Einlass beobachtet werden, insbesondere dann, wenn eine gleichmäßige Geschwindigkeit an diesem Rand angegeben ist.
Für rauhe Wände wird das Wandgesetz wie folgt geändert:
wobei r die von der Wand gemessene durchschnittliche Rautiefe(in Längeneinheiten) ist,
die kinematische Viskosität und Sv die Schubspannungsgeschwindigkeit. Der Vorgabewert von r ist 0.0, somit werden die zusätzlichen Terme für die Rauheit als Ergebnis nicht mehr angezeigt. Dieser Wert für die Rauheit wird in den Materialeigenschaftenfenstern zugewiesen. Die Werte, die den Festkörpermaterialien zugewiesen werden, überschreiben den Wert vom angrenzenden Fluidmaterial.
Die Konstanten und ihre Vorgabewerte werden in der folgenden Tabelle aufgelistet.
| Konstante | Wert | Autodesk® CFD | Ergebnis bei Erhöhung des Werts |
| A+ | 26.0 | VanDriest | Geringere thermische Mischung im Wand-Begrenzungs-Layer |
| B | 5.50 | Wandparameter | Niedrigere Wandscherspannung, geringere Druckänderung |
| r | 0.0 | Rauheit | Höhere Wandscherspannung, größere Druckänderung |
|
0.40 | Kappa | Höhere Wandscherspannung, größere Druckänderung |
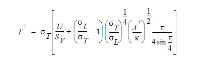
Für Probleme mit turbulenter Wärmeübertragung wird das Temperaturwandgesetz erzwungen. Abhängig von den relativen Werten der turbulenten und der laminaren Prandtlzahl werden zwei unterschiedliche Formen dieser Beziehung von Autodesk® CFD verwendet. Der Unterschied zwischen den beiden Gleichungen besteht darin, welcher Ausdruck für die Wirbelviskositätsverteilung in der Nähe der Wand substituiert wird. Im ersten Fall wird das "Inner Law" von Spalding [1] verwendet, um Folgendes zu erhalten:
Hierbei ist
die laminare Prandtlzahl und
die turbulente Prandtlzahl. Die laminare Prandtlzahl ist:
Hier ist Cp die spezifische Wärme,
die absolute Viskosität und k die Wärmeleitfähigkeit. T+ ist definiert als:
wobei
der Abstand von der Wand ist,
die Wandscherspannung und kw die Wärmeleitfähigkeit im Wand-Layer. Diese Formel für das Temperaturwandgesetz wird für laminare Prandtlzahlen verwendet, die kleiner sind als die turbulente Prandtlzahl mit dem durch Autodesk® CFD zugewiesenen Wert von 1.0. Daher sollte diese Formel für die meisten Luft- oder Gasströmungen verwendet werden.
Bei Fluids mit höheren laminaren Prandtlzahlen (wie Wasser) wird die Van Driest-Formel für Wirbelviskosität im Temperaturwandgesetz für folgendes Ergebnis verwendet:
wobei A+ die Van Driest-Konstante ist. Dieser Konstanten wird von Autodesk® CFD der Wert 26.0 zugewiesen. Sie kann über die Schaltfläche Turbulenz in der Aufgabe Analysieren und über die Schaltfläche Erweitert im Dialogfeld "Turbulenz" geändert werden.