Eigenschaften
Verweis
Davis, G. De Vahl und Jones, I.P., "Natural convection in a square cavity: a comparison exercise", Inter. Jour. for Num. Meth. in Fluids, 3, (1983).
Problembeschreibung
Temperatur- und Geschwindigkeitsverteilungen werden für eine laminare, durch natürliche Konvektion bedingte Strömung in einer quadratischen Kavität berechnet. Die obere und untere Wand sind isoliert und die linke und rechte Wand haben fixe Temperaturen, die sich um 1 K unterscheiden.
Die Rayleighzahl wird berechnet aus:
ist der Koeffizient der volumetrischen Dehnung, definiert als:
ist die Dichte
ist die spezifische Wärme
und
sind die Temperaturen der linken bzw. rechten Wand
ist die Viskosität.
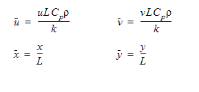
Dieses Problem wird analysiert, um die Fluidströmungs- und Wärmeübertragungs-Modellierfähigkeiten von Autodesk® CFD zu überprüfen. Die Genauigkeit wird durch den Vergleich der Geschwindigkeitskomponenten an bestimmten Positionen in der Kavität beurteilt. Geschwindigkeiten und Koordinaten werden gemäß Davies, et al. (1983) wie folgt normalisiert:
Geometrie und Randbedingungen
Ergebnisse
Durch Verwendung der oben definierten Ausdrücke für
,
,
und
werden die folgenden Ergebnisse berechnet:
| Benchmark | 2017: Build 20160302 | % Fehler | 2018: Build 20170308 | % Fehler | |
|
16.178 | 15.878 | 1.850 | 16.191 | 0.079 |
|
0.823 | 0.826 | 0.404 | .825 | .243 |
|
19.617 | 19.521 | 00.486 | 19.666 | .251 |
|
0.119 | 0.117 | 1.653 | .120 | .840 |