Kompressible Strömung

Wenn eine Fluidströmung kompressibel ist, variiert die Fluiddichte mit ihrem Druck. Kompressible Strömungen sind in der Regel schnell fließende Strömungen mit Machzahlen höher als ca. 0.3. Beispiele finden sich in aerodynamischen Anwendungen, wie die Strömung über eine Tragfläche oder den Rumpf eines Flugzeugs, sowie in industriellen Anwendungen, etwa eine Strömung durch Hochleistungsventile.

Nicht kompressible Strömungen weisen keine derartigen Dichtevariationen auf. Die grundlegende Abgrenzung zwischen kompressibel und nicht kompressibel ist die Geschwindigkeit der Strömung. Ein Fluid (z. B. Luft), das sich langsamer als mit 0.3 Mach bewegt, gilt als nicht kompressibel, selbst wenn es sich um ein Gas handelt. Ein Gas, das durch einen Kompressor getrieben wird, gilt nicht als kompressibel im eigentlichen Sinn (d. h. thermodynamisch betrachtet), sofern dessen Geschwindigkeit nicht 0.3 Mach überschreitet. Dies ist zu beachten, da Analysen für kompressible Strömungen sich schwieriger ausführen lassen und längere Analysezeiten erfordern, als dies bei nicht kompressiblen Strömungen der Fall ist.

In Autodesk® CFD hängt die Unterscheidung zwischen unterschallkompressibel und vollständig kompressibel von der Mach-Zahl ab.

Unterschallkompressible Strömungen weisen eine Mach-Zahl zwischen 0.3 und 0.8 auf. Das Verhältnis zwischen Druck und Dichte ist schwach, und innerhalb der Strömung werden keine Stöße berechnet.

Kompressible Strömungen weisen eine Mach-Zahl höher als 0.8 auf. Der Druck hat starke Auswirkungen auf die Dichte, und Stöße sind möglich. Kompressible Strömungen können entweder schallnahe Strömungen (0.8 < M < 1.2) oder Überschallströmungen (1.2 < M < 3.0) sein. Bei Überschallströmungen werden Druckauswirkungen ausschließlich stromabwärts weitergegeben. Nachgestellte Bedingungen und Behinderungen haben keine Auswirkungen auf die vorangestellte Strömung.

Die Schallgeschwindigkeit wird durch a wiedergegeben:

Hierbei gilt: = 1.4 für Luft, R = Gaskonstante und T = statische Referenztemperatur (in absoluten Einheiten).

Die Geschwindigkeit V ist das Produkt aus der Schallgeschwindigkeit a und der Mach-Zahl M:

Die Gesamttemperatur Tt ist ebenfalls ein wichtiger Parameter und ist die Summe aus statischer und dynamischer Temperatur. Die Gesamttemperatur lässt sich auf zwei Weisen berechnen:

Für Luft gilt: Cp = 1005 m2/(s2 K)

Beachten Sie, dass die Gesamttemperatur als konstanter Wert für Analysen ohne Wärmeübertragung und als Randbedingung für Analysen mit Wärmeübertragung angegeben werden muss.

Der Gesamtdruck Pt ist eine weitere nützliche Größe für die Ausführung von kompressiblen Analysen. Er ist die Summe aus statischem und dynamischem Druck.

Wenn die Strömung durch einen geometrisch konvergierenden Abschnitt auf Schallgeschwindigkeit beschleunigt wird, gilt sie als durchflussbegrenzt. Bei Durchflussbegrenzung kann keine weitere Masse durch die Verengung gelangen, selbst wenn der Druckverlust (durch Verringerung des Auslassgegendrucks) erhöht wird. Die Strömung stromabwärts von der Verengung kann expandieren und Überschallgeschwindigkeit annehmen.

Grundlegende Lösungsstrategie

Analysen von kompressiblen Strömungen reagieren sehr viel empfindlicher auf die angewendeten Randbedingungen und Materialeigenschaften als nicht kompressible Analysen. Wenn die angewendeten Einstellungen keine physikalisch realistische Strömungssituation definieren, kann die Analyse sehr instabil ausfallen und möglicherweise zu keiner konvergierten Lösung führen.

Aus diesem Grund sollte die zu analysierende Strömungssituation genau verstanden werden. Eine korrekte Festlegung der Randbedingungen und Materialeigenschaften erhöht die Wahrscheinlichkeit einer erfolgreichen Analyse erheblich.

Probeläufe

Beim Start einer neuen Analyse kann es sehr nützlich sein, anhand einer zweidimensionalen Darstellung des Modells sicherzustellen, dass alle Bedingungen korrekt sind. Inkonsistente Einstellungen können bei der Ausführung des 2D-Modells dabei rasch erkannt werden, was ein schnelleres Debuggen der Analyse ermöglicht. Wenn die Einstellungen die Analyse korrekt definieren, können sie auf das (normalerweise) weitaus größere 3D-Modell (oder detailliertere 2D-Modell) angewendet werden, wobei jegliche weitere Anpassung des Modells am Netz und nicht am grundlegenden Aufbau vorzunehmen ist.

Vernetzung

Um physikalische Kräfte wie z. B. Stöße zu erfassen, muss die Netzgröße in kritischen Bereichen sehr fein ausfallen. Das Netz kann in unkritischen Bereichen weniger fein sein. Eine gute Richtlinie für Netzübergänge besagt, dass die Netzgröße keinen Übergang um mehr als den Faktor vier zwischen benachbarten Fluidvolumen erfahren sollte. Im Allgemeinen ist ein grobes Netz zwar stabiler, jedoch ungenauer. Aus diesem Grund wird für einige Fälle im Rahmen des oben beschriebenen Testverfahrens empfohlen, den Analyseaufbau anhand eines groben Netzes zu überprüfen und nach Bestätigung der Eignung der Einstellungen das Netz zu verfeinern, um die Genauigkeit zu verbessern.

Materialien

Öffnen Sie zur Gewährleistung der Dichtevariation das Dialogfeld Umgebung, und wählen Sie Variabel aus. Wenn die Betriebsbedingungen sich von den Standardwerten unterscheiden, klicken Sie mit der rechten Maustaste in der Designstudienleiste auf den Zweig Material, und klicken Sie auf Umgebungsreferenz bearbeiten. Geben Sie den geeigneten statischen Druck und die geeignete statische Temperatur an. Da die Dichte anhand dieser Werte berechnet wird, muss der Umgebungsdruck für einen korrekten Überdruckreferenzpunkt genau angegeben werden.

Wärmeübertragung

Um die Wärmeübertragung in eine kompressible Analyse aufzunehmen, wenden Sie Randbedingungen für die Gesamttemperatur (Stagnationstemperatur) anstelle von statischen Temperaturen an den Einlässen an. Die Gesamttemperatur sollte außerdem auf jeden Festkörper oder jede Wand mit bekannten Temperaturbedingungen angewendet werden. (Verwenden Sie keine Randbedingung für die statische Temperatur zur Definition einer bekannten Temperatur in einer kompressiblen Analyse. An einer Wand ist der Wert der statischen Temperatur und der Gesamttemperatur identisch. Er sollte als Gesamttemperatur angewendet werden.) Aktivieren Sie sodann die Wärmeübertragung im Dialogfeld "Start". Der Wert für die Gesamttemperatur im Dialogfeld "Start" wird ignoriert, wenn die Wärmeübertragung aktiviert ist.

Beachten Sie, dass bei vorhandener Wärmeübertragung in einer kompressiblen Analyse viskose Dissipation, Druckarbeit und kinetische Energieterme berechnet werden. Die Wärmeübertragung muss nur dann aktiviert werden, wenn eine Lösung für die Wärmeübertragung oder für Strömungsgeschwindigkeiten größer als M = 3.0 gesucht wird, sofern die viskose Dissipation von Bedeutung ist oder ein sehr präziser Stoß erfasst werden soll.

Es ist sehr wichtig, die Gesamttemperatur korrekt anzugeben. Ein guter Test besteht darin, 0 Iterationen auszuführen und zu überprüfen, ob die Mach-Zahl am Einlass den erwarteten Wert aufweist. Ist dies nicht der Fall, passen Sie die Randbedingungen für Gesamttemperatur und Einlass entsprechend an.

Wenn keine Lösung für die Wärmeübertragung gesucht wird, muss eine Gesamttemperatur im Dialogfeld "Start" festgelegt werden. Die Gleichung für die Gesamttemperatur ist weiter oben angegeben.

Absolute Werte, Gesamtwerte, statische und dynamische Werte

Der Begriff "Absolut" wird in Verbindung mit Druck verwendet. Normalerweise ist die Lösung der Druckgleichung ein relativer Druck. Dieser relative Druck enthält nicht die Gravitationshöhe, die Rotationshöhe oder den Referenzdruck. Es ist der Teil des Drucks, auf den sich die Geschwindigkeiten in der Impulsgleichung direkt auswirken. Beim absoluten Druck werden die Gravitations- und die Rotationshöhe und der Referenzdruck zu dem aus der Druckgleichung berechneten Druck hinzugefügt. Bezogen auf den relativen Druck Prel wird der absolute Druck wie folgt berechnet:

Der tiefgestellte Text ref bezieht sich auf die Referenzwerte, das tiefgestellte Zeichen i bezieht sich auf die drei Koordinatenrichtungen, g ist die Gravitationsbeschleunigung, und ist die Drehzahl. Die Referenzdichte wird am Anfang der Analyse anhand des Referenzdrucks und der Referenztemperatur berechnet. Für Strömungen mit einer konstanten Dichte ist die Referenzdichte der konstante Wert. Für Strömungen ohne Gravitations- oder Rotationshöhe ist der relative Druck der Überdruck.

Die Begriffe "dynamisch" und "statisch" werden am häufigsten für kompressible Fluide verwendet. Die dynamischen Werte sind der kinetischen Energie entsprechende Terme:

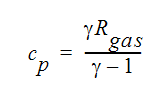
Beachten Sie, dass die spezifische Wärme zur Berechnung der dynamischen Temperatur nicht der im Eigenschaftenfenster eingegebene thermische Wert ist, sondern ein mechanischer Wert, der wie folgt berechnet wird:

wobei das Verhältnis der spezifischen Wärme bei konstantem Druck zur spezifischen Wärme bei konstantem Volumen ist und Rgas die Gaskonstante für dieses Gas.

Die statische Temperatur wird durch Lösen der Energiegleichung bestimmt. Für adiabatische Eigenschaften ist die Energiegleichung, die zur Bestimmung der statischen Temperatur verwendet wird, die Konstantengleichung für die Gesamttemperatur. Somit ist die statische Temperatur die Gesamt- oder Stagnationstemperatur abzüglich der dynamischen Temperatur.

Der statische Druck ist der oben angegebene absolute Druck. Die Gesamttemperatur ist die Summe aus statischer und dynamischer Temperatur. Der Gesamtdruck ist die Summe aus statischem oder absolutem Druck und dem dynamischen Druck.

Verwandte Themen

Beispiel für Analyse interner kompressibler Strömungen

Beispiel für Analyse externer kompressibler Strömungen

Mathematische Grundlage