Membranelemente

Membranelemente sind Elemente mit drei oder vier Knoten, die im dreidimensionalen Raum gebildet werden. Membranelemente werden verwendet, um gewebeartige Objekte wie z. B. Zelte oder Hütten oder Strukturen wie das Dach eines Sportstadions zu modellieren. Membranelemente modellieren Volumenkörper mit einer angegebenen Dicke, die keine Spannung senkrecht zur Dicke aufweisen. Die grundlegenden Beziehungen werden geändert, um die Spannung senkrecht zur Dicke auf Null zu setzen.

Bestimmung der Flächennummer

Oberflächenbasierte Lasten (z. B. Druck) werden auf die Membranelemente durch Auswählen der zu belastenden Fläche angewendet. Da jede Kante des Elements sich auf einer anderen Flächennummer befinden kann, ist die Regel für die Anwendung oberflächenbasierte Lasten auf das Element wie folgt: die der höchsten Flächennummer aller Linien, aus denen das Element besteht, zugewiesene Last gilt für das gesamte Element. Wenn die höchste Flächennummer auf dem Element keine angewendete Last hat, weist das gesamte Element keine Last auf. Sie sollten sorgfältig vorgehen, wenn Sie bestimmen, welche Flächennummer für die Linien zwischen Elementen mit Lasten und Elementen ohne Lasten verwendet wird.

Freiheitsgrade

Membranelemente haben laut Definition nur drei Translationsfreiheitsgrade: Dx, Dy und Dz. Sie haben keine Rotations-Freiheitsgrade, daher übertragen sie keine Momente oder produzieren Drehungsergebnisse.

Das Membranelement ermöglicht die Definition von Drucklasten senkrecht zur Fläche, z. B. zum Modellieren von Windlasten auf einem Segel. Die Konvergenz des Elements für diese Art der Belastung wird verbessert, wenn das Element unter Spannung steht, andernfalls kann das Element frei herumflattern und es treten möglicherweise Konvergenzprobleme auf. Temperaturabhängige anisotrope Materialeigenschaften können definiert werden. Die Spannungsausgabe wird an den Knoten bereitgestellt.

Abbildung 1: Membranelement (dreieckig)

Abbildung 2: Membranelement (viereckig)

Parameter von Membranelementen

Zuerst müssen Sie das Materialmodell für dieses Bauteil im Dropdown-Feld Materialmodell angeben. Die verfügbaren Membranmaterialmodelle sind:

Geben Sie im Feld Dicke die Stärke der Membranelemente ein. Das Element wird als auf der Mittelebene des Membranelements gezeichnet betrachtet. Geben Sie einen Wert für die Stärke ein, um die Analyse durchzuführen. Wenn die Option Verbundwerkstoffe in der Dropdown-Liste Materialmodell ausgewählt ist, ist dieses Feld nicht verfügbar. In diesem Fall wird die in der Registerkarte Verbundwerkstoffe definierte Summe der Dicke der Schichten in diesem Feld angezeigt.

Damit für die Membranelemente in diesem Bauteil die Mittelknoten aktiviert sind, wählen Sie in der Dropdown-Liste Mittelknoten die Option Einbezogen aus. Wenn diese Option ausgewählt ist, haben die Membranelemente zusätzliche Knoten in der Mitte jeder Kante definiert. (Bei Netzen von CAD-Volumenkörpermodellen folgen mittlere Knoten der ursprünglichen Krümmung der CAD-Oberfläche, abhängig von der gewählten Option, bevor das Netz erstellt wurde. Bei handgefertigten Modellen und geänderten CAD-Modellnetzen befindet sich der mittlere Knoten in der Mitte zwischen Eckknoten.) Dadurch wird ein Membranelement mit 4 Knoten in ein Membranelement mit 8 Knoten geändert. Ein Element mit mittleren Knoten führt zu genaueren berechneten Abstufungen. Elemente mit mittleren Knoten verlängern die Verarbeitungszeit. Wenn das Netz ausreichend klein ist, wird mit den Mittelknoten u. U. kein wesentlich genaueres Ergebnis erzielt.

Tipp: Die Verschiebung an den Mittelknoten ist immer eine Ausgabe. Bei der Spannung und Dehnung an den Mittelknoten handelt es sich nur um Ausgaben, wenn der Benutzer die Option zur Ausgabe dieser Ergebnisse vor der Durchführung der Analyse aktiviert. Die Option befindet sich im Dialogfeld SetupModell einrichten Parameter Erweitert auf der Registerkarte Ausgabe. (Weitere Informationen finden Sie unter Steuern der Ausgabedateien.)

Zusammengesetztes Materialmodell

Wenn die Membranelemente ein Verbundwerkstoff-Materialmodell verwenden, können Sie Fehlerkriterien mithilfe der Dropdown-Liste Ausfallkriterium auf der Registerkarte Verbundwerkstoffe im Dialogfeld Elementdefinition festlegen. Die verfügbaren Optionen und die zugehörigen verwendeten Gleichungen sind:

[1]

Dabei gilt:

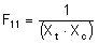
Xt = Axiale oder longitudinale Festigkeit bei Zug (>0)

Xc = Axiale oder longitudinale Festigkeit bei Druck (>0)

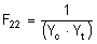
Yt = Transversale Festigkeit bei Zug (>0)

Yc = Transversale Festigkeit bei Druck (>0)

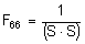
S = Scherfestigkeit

F12 = In die Materialeigenschaften eingegebener Spannungsinteraktionswert. Wenn der Wert 0 ist, wird er standardmäßig .

σ 1 = Spannung in Hauptmaterialrichtung 1-

σ 2 = Spannung in Hauptmaterialrichtung 2-

τ 12 = Scherspannung in Hauptmaterialebene 1-2

Wenn die Gleichung [1] nicht erfüllt ist, weist das Material einen Fehler auf.

[2]

wobei R das Festigkeit-Spannungs-Verhältnis angibt.

Da jede Kombination von Spannungskomponenten in [1] das Maximum erreicht, wenn die linke Seite Gleichheit erreicht, kann [2] in [1] ersetzt werden und folgendes Ergebnis liefern:

Wenn diese Gleichung nach R umgestellt wird, erhalten Sie Folgendes:

Dabei gilt:

Die Vorzeichen der Spannungen σij werden umgekehrt.

[3]

Dabei gilt:

σ1 = Berechnete Spannung in Richtung 1

σ2 = Berechnete Spannung in Richtung 2

τ12= berechnete Scherspannung

Xc = zulässige Druckspannung in Richtung 1 (> 0)

Yc = zulässige Druckspannung in Richtung 2 (> 0)

Xt = Zulässige Zugspannung in Richtung 1 (>0)

Yt = Zulässige Zugspannung in Richtung 2 (>0)

S = Zulässige Scherspannung (>0)

Wenn die Bedingungen der Gleichung [3] nicht erfüllt sind, weist das Material einen Fehler auf.

[4]

Dabei gilt:

ε1 = Berechnete Dehnung in Richtung 1

ε1 = Berechnete Dehnung in Richtung 2

γ12 = Berechnete Scherdehnung

T1c = Zulässige Druckdehnung in Richtung 1 (>0)

T2c = Zulässige Druckdehnung in Richtung 2 (>0)

T1t = Zulässige Zugdehnung in Richtung 1 (>0)

T2t = Zulässige Zugdehnung in Richtung 2 (>0)

S = Zulässige Scherdehnung (>0)

Wenn die Bedingungen der Gleichung [4] nicht erfüllt sind, weist das Material einen Fehler auf.

Die Tabelle Komposite-Laminatstapelsequenz kann verwendet werden, um die Verbundwerkstoff-Schichten zu definieren. Schichten sind wie unter Steuern der Ausrichtung von Membranelementen beschrieben ausgerichtet und angeordnet. Die Spalte Dicke muss für jede Schicht definiert werden. Die Spalte Ausrichtungswinkel gibt den Winkel α zwischen den Materialachsen (definiert auf der Registerkarte Allgemein) und den Faser- oder Schichtachsen an. Die Materialeigenschaften werden entsprechend der Schichtachsen eingegeben. Klicken Sie zum Definieren der Materialeigenschaften für einen Layer in die Spalte Material. Ein Dialogfeld wird angezeigt, in dem Sie ein vorhandenes Material auswählen oder ein neues Material Hinzufügen können. (Weitere Informationen finden Sie unter Verbundwerkstoff-Materialeigenschaften.)

Tipp: Verwenden Sie die Schaltfläche Zeile kopieren, um vorhandene Eingaben zu kopieren und Wiederholungsserien zu erstellen. Geben Sie entweder eine einzelne zu kopierende Schicht oder einen Bereich von Schichten, getrennt durch einen Bindestrich (-) an, z. B. 4-8. Geben Sie im Feld Vor Zeile einfügen eine beliebige Zeilennummer nach dem letzten Eintrag an, um eine Kopie am Ende der Stapelsequenz einzufügen.

Steuern der Ausrichtung von Membranelementen

Es gibt zwei Arten von Achsen, die der Benutzer steuern kann. Ein Typ ist die Achse, die senkrecht zu den Membranelementen steht. Der Hauptgrund für die senkrechte Richtung ist zum Anwenden von Druck auf das Element oder die Angabe von Fläche-zu-Fläche-Kontakt. Bei Verbundwerkstoffen steuert die Normalenrichtung, auf welcher Seite des Elements sich Layer 1 befindet. Der zweite Typ Achsen sind die Achsen in der Ebene des Elements. Diese sind bei der Arbeit mit einem orthotropen Materialmodell oder zum Anzeigen der Ergebnisse im Elementkoordinatensystem hilfreich.

Zusätzlich zu diesen beiden Typen gibt es drei Achsensysteme, die der Benutzer möglicherweise festlegen muss:

  1. Die Elementachsen.
  2. Die Materialachsen, die für orthotrope Materialmodelle und Verbundwerkstoffmodelle verwendet werden.
  3. Die Schichtachsen, die mit Verbundwerkstoffmodellen verwendet werden.

Elementachsen:

Eine Element-Knotennormale wird verwendet, um die Ausrichtung der Normalenachse des Elements (+ 3) zu steuern, oder welche Seite des Elements die Oberseite (+ 3) und die Unterseite (-3) ist. Die Normalenrichtung wird durch Festlegen eines Punkts im Raum über die Felder X-Koordinate, Y-Koordinate und Z-Koordinate im Abschnitt Element-Normale der Registerkarte Ausrichtung bestimmt. Siehe Abbildung 3. Ein positiver Normaldruck wird normal auf die Membranelemente in Richtung der + 3 Achse angewendet und zeigt deshalb weg von der Element-Knotennormalen.

Abbildung 3: Festlegen der Element-Normalen

Die Kantenansicht des Membranelements wird dargestellt. 

Für eine allgemeine FEM-Analyse können Sie die Ausrichtung des Elements in der Ebene ignorieren (Achse 1 und 2). Die Möglichkeit zum Ausrichten der ebenen Achsen von Elementen ist bei Elementen mit orthotropen Materialmodellen und zusammengesetzten Elementen hilfreich. Die Ausrichtung der Achsen 1 und 2 erfolgt auf der Registerkarte Ausrichtung im Dialogfeld Elementdefinition. Die Dropdown-Liste Methode enthält drei Optionen, mit denen Sie festlegen können, welche Seite des Elements die IJ-Seite sein soll. Die Elementachse 1 ist parallel zur IJ-Seite des Elements. (Elementachse 2 bildet ein Rechte-Hand-System mit den Achsen 1 und 3.)

Materialachse:

Die Materialeigenschaften werden in Form von Materialachsen für orthotrope Materialien eingegeben, und die Materialachsen können aus den Elementachsen (oder aus einer globalen Referenz) über den Abschnitt Materialachsenrichtung auf der Registerkarte Allgemein im Dialogfeld Elementdefinition definiert werden. (Materialeigenschaften für zusammengesetzte Materialien werden in Form von Schichtachsen eingegeben, wie unten beschrieben.)

In allen Fällen liegt die Materialachse 3 senkrecht zum Element und in der gleichen Richtung wie die Elementachse 3.

Unabhängig von der zum Ausrichten der Membranelement-Materialachsen verwendeten Methode können Sie das Feld Drehwinkel auf gleicher Layer zum Drehen der Materialachsen um einen angegebenen Winkel um Achse 3 verwenden. Die Drehungen folgen der Rechte-Hand-Regel um Achse 3. Siehe Abbildung 4.

Abbildung 4: Definition des Rotationswinkels der Materialachsenrichtung

Die Methode Element zum Festlegen der Materialachse wird angezeigt, in der der Winkel β von Elementachse 1 gemessen wird.

Schichtachsen:

Bei Verbundwerkstoffen verfügt jeder Layer der Schicht über einen Satz lokaler Achsen. Die Layerachse 1 ist die Achse entlang der Faser jedes einzelnen Layers. Die Layerachse 2 ist lotrecht zur Faser jedes einzelnen Layers in der Elementebene angeordnet. Die Achse von Schicht 3 ist senkrecht zum Element und deshalb parallel zur lokalen Elementachse C. (Um Verwechslungen zwischen den Schichtachsen und den Elementachsen auszuschließen, werden die Elementachsen beim Arbeiten mit zusammengesetzten Elementen häufig als A-B-C bezeichnet, und die Achsen 1-2-3 definieren die Ausrichtung der Fasern.) Siehe Abbildungen 5 und 6.

Abbildung 5: Schichtstapelreihenfolge

Der Benutzer gibt den Winkel A für jede Schicht über den Ausrichtungswinkel der Tabelle Komposite-Laminatstapelsequenz ein. Achse 3 wird durch die Koordinate der Normalen des Elements gesteuert.

Abbildung 6: Alternative Darstellung von Element-, Material- und Schichtachsen

Die Elementachsen A-B-C basieren auf der Koordinate der Normalen des Elements und der IJ-Seite des Elements. Die Materialachsen X-Y-Z werden um den Winkel β von den Elementachsen gedreht. Die Element- und Materialachsen sind für alle Schichten im Stapel gleich. Die Schicht- oder Faserachsen 1-2-3 werden um einen Winkel von den Materialachsen gedreht und können für jeden Schicht im Stapel einen anderen Winkel aufweisen.

Erweiterte Parameter von Membranelementen

Wählen Sie in der Dropdown-Liste Analysebeschreibung auf der Registerkarte Erweitert die Formulierungsmethode aus, die Sie für die Membranelemente verwenden möchten. Die Option Linear ignoriert nicht-lineare geometrische Effekte, die sich aus großen Verformungen ergeben. Die Option Geometrisch nicht-linear umfasst nicht-lineare geometrische Effekte, die sich aus großen Verformungen ergeben.

Wenn das Kontrollkästchen Überlappen der Elemente zulassen aktiviert ist, wird beim Dekodieren der Linien in Elemente die Erstellung überlappender Elemente zugelassen. Eine Überlappung kann bei der Modellierung von Elementen erforderlich sein. Dies gilt besonders für Probleme, die auf planare Bewegung beschränkt sind.

Um die Spannungsergebnisse für jedes Element während der Analyse bei jedem Schritt in die Protokolldatei im Textformat zu schreiben, aktivieren Sie das Kontrollkästchen Detaillierte Spannungsausgabe. Dies kann zu großen Ausgabemengen führen.

Membranelemente verwenden selektive reduzierte Integration, um Sperrprobleme zu verhindern. Wenn das Kontrollkästchen Reduzierte Integration für Membranscherausdrücke aktiviert ist, wird das Membran-Sperrverhalten für gekrümmte Elementkonfigurationen verbessert.

Wenn das Kontrollkästchen Keine Komprimierung aktiviert ist, wird auf das Element unter Komprimierung keine Steifigkeit angewendet. Auf diese Weise können Segel und ähnliche Bauteile modelliert werden.

Grundlegende Schritte für die Verwendung von Membranelementen

  1. Stellen Sie sicher, dass ein Einheitensystem definiert ist.
  2. Stellen Sie sicher, dass das Modell einen nichtlinearen Analysetyp verwendet.
  3. Klicken Sie mit der rechten Maustaste auf die Überschrift Elementtyp für das Bauteil, das als Membranelement dienen soll.
  4. Wählen Sie den Befehl Membran.
  5. Klicken Sie mit der rechten Maustaste auf die Überschrift Elementdefinition.
  6. Wählen Sie den Befehl Elementdefinition bearbeiten.
  7. Wählen Sie auf der Registerkarte Allgemein das gewünschte Materialmodell im Dropdown-Feld Materialmodell aus.
  8. Geben Sie die Dicke der Gehäuseelemente ein. Diese Angaben sind erforderlich. Ohne diese Eingabe wird das Modell nicht ausgeführt.
  9. Wenn die Option Verbundwerkstoffe in der Dropdown-Liste Materialmodell ausgewählt ist, geben Sie die entsprechenden Daten auf der Registerkarte Verbundwerkstoffe an.
  10. Klicken Sie auf die Registerkarte Ausrichtung.
  11. Geben Sie eine Element-Knotennormale an. Die Oberkante des Membranelements weist immer weg von diesem Punkt.
  12. Klicken Sie auf OK.