Die auf dieser Seite besprochenen Ergebnisoptionen befinden sich auf einer der folgenden drei Registerkarten der Multifunktionsleiste:
Im Folgenden werden die Schaltflächen der Gruppe Optionen für Lastfall erläutert. Dieses Untermenü ist nur verfügbar, wenn für das aktuelle Modell mehrere Lastfälle vorhanden sind.
Lastfall und Zeitschritt werden in einer dynamischen Analyse als Synonyme verwendet: Sie stellen einen Ergebnissatz für bestimmte Lastkombinationen oder zu einem bestimmten Zeitpunkt dar.
Beim Aufruf des Befehls Automatisch fortschreiten werden die Ergebnisse aktualisiert, sobald neue Ergebnisse verfügbar sind. Wenn der Befehl deaktiviert wird, indem Sie ihn ausschalten oder einen anderen Lastfall auswählen, werden die neuen Ergebnisse nach der Berechnung nicht angezeigt.
Die Analyse gilt als in Bearbeitung, wenn das Analysefenster geöffnet ist, selbst wenn die Analyse selbst abgeschlossen ist.
Wenn Sie die Ergebnisse einer Spektrumsanteilanalyse anzeigen und als Analysemethode entweder NRC Reg. Richtwert 1,92 oder Geändertes Verfahren verwendet wird, ist die Option Ergebnisoptionen
Analysespezifisch
Spektrumsanteil verfügbar. Für jede Spektrumlastrichtung (X-, Y-, Z-Richtungsfaktoren in den Analyseparametern) und jede Eigenfrequenz werden separate Ergebnisse angegeben. Durch den Befehl Spektrumsanteil wird festgelegt, welche Lastrichtung angezeigt wird, während Ergebniskonturen
Optionen für Lastfall die angezeigt Eigenfrequenz definiert.
Dieser Befehl ist nur für eine Antwortspektrum, willkürliche Schwingungen und DDAM-Analysen (Dynamic Design Analysis Method) verfügbar. Dies ist standardmäßig aktiviert. Die Anzeige enthält die Resultante aller in der Analyse verwendeten Eigenfrequenzen. Um die einzelnen Komponenten der Eigenfrequenzen anzuzeigen, deaktivieren Sie diesen Befehl. Die einzelnen Eigenfrequenzen werden dann jeweils als ein separater Lastfall angezeigt.
Dieser Befehl ist nur für eine Frequenzantwortanalyse verfügbar. Sie haben die Möglichkeit, die phasensynchronen, phasenverschobenen oder SRSS-Ergebnisse für jede angewendete Frequenz anzuzeigen.
Mithilfe des Befehls Ergebnisse glätten erzeugen Sie eine glattere Darstellung des angezeigten Modells, ohne abrupte Farbübergänge. Für elementbasierte Ergebnisse (z. B. Spannung) werden die Werte an den Knoten für jedes Element unabhängig berechnet. Aus diesem Grund kann eine Schrittänderung oder Diskontinuität an den Elementbegrenzungen bestehen. Die Unterschiede sind ein natürliches Resultat des FEM-Verfahrens. Bis zu einem gewissen Grad stimmt die tatsächliche Spannung näherungsweise mit dem Durchschnitt aller Spannungen an dem Knoten überein. Durch den Befehl Ergebnisse glätten wird Folgendes erzielt: Die Ergebnisse zwischen angrenzenden Elementen werden gemittelt, und der Durchschnittswert wird an dem Knoten angezeigt.
Dieser Ansatz ist für kontinuierliche Modelle geeignet. Wenn das Modell eine Schrittänderung enthält (z. B. eine Änderung in der Plattenelementdicke), sollten die Spannungen an den Begrenzungen zwischen den verschiedenen Bauteilen nicht gemittelt werden (es wird nicht standardmäßig ein Durchschnittswert berechnet).
Ist der Befehl Ergebnisse glätten nicht aktiviert, werden die Daten in der Rohform angezeigt, sodass jeder Knoten über mehrere Ergebnisse verfügt (ein Ergebnis für jedes mit dem Knoten verbundene Element).
Für knotenbasierte Ergebnisse (Verschiebung, Temperatur, Geschwindigkeit usw.), gibt es nur einen Wert an jedem Knoten, sodass der Befehl Ergebnisse glätten keine Auswirkungen hat.
Wenn dieser Befehl aktiviert ist, wird das Dialogfeld Glättungsoptionen eingeblendet.
Einstellungen
Ergebnisse glätten. Wenn das Kontrollkästchen Vor dem Anwendung von Operatoren abgleichen nicht aktiviert ist, erfolgen die Berechnungen in der folgenden Reihenfolge:
Wenn das Kontrollkästchen Vor dem Anwendung von Operatoren abgleichen aktiviert ist, wechselt die Reihenfolge der letzten beiden Berechnungen.
Dies kann deutlich abweichende Ergebnisse zur Folge haben, wenn das Basisergebnis eine abrupte Änderung über mehrere Elemente an einem einzelnen Knoten aufweist. Schauen Sie sich als Beispiel die folgenden Ergebnisse aus einer 2D-Spannungsanalyse an. Die beiden Elemente sind an dem gemeinsamen Knoten mit der Nummer 21 verbunden.
| Spannungswert | Element 10, Knoten 21 | Element 11, Knoten 21 | Mittelwert |
|---|---|---|---|
| Spannung YY | 1.635,8 | 362,5 | 999,2 |
| Spannung ZZ | 425,7 | 8,8 | 217,3 |
| Scherspannung YZ | -294,4 | 534,1 | 119,9 |
| von Mises | 1.555,9 | 992,0 | 1,274.0 |
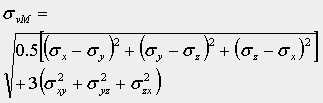
Wenn Sie die Glättungsfunktion anhand des Mittelwerts verwenden oder die Glättung nach Anwendung von Operatoren durchführen (Vor dem Anwendung von Operatoren abgleichen ist deaktiviert), ist das endgültige Ergebnis für die Berechnung der von Mises-Spannung der Durchschnitt der beiden einzelnen von Mises-Spannungen bzw. 0,5 * (1.555,9 + 992,0) = 1.273,9. Bei einer Glättung vor Anwendung der Operatoren wird das endgültige Ergebnis mit der von Mises-Gleichung und dem Mittelwert der Spannungstensoren ermittelt undbeträgt
= 933,6. Dieses hypothetischen Modell weist eine deutliche Änderung der Spannung zwischen angrenzenden Elementen auf. Das Netz sollte daher verfeinert werden. In Bereichen ohne große Diskontinuität in den Basisergebnissen zwischen angrenzenden Elementen sollte die Option Vor dem Anwendung von Operatoren abgleichen keine deutliche Änderung in dem geplotteten Ergebnis zur Folge haben. Beim Plotten von Skalaren oder einzelne Komponenten eines Tensors oder Vektors, hat das Kontrollkästchen Vor dem Anwendung von Operatoren abgleichen keine sichtbaren Auswirkungen außer geringfügiger Leistungseinbußen.
Verwenden Sie für die Berechnung des Sicherheitsfaktors eine imaginäre Streckgrenze von 2000. Wenn Sie nach Anwendung der Operatoren eine Glättung durchführen, entspricht der Sicherheitsfaktor dem Durchschnitt der einzelnen Sicherheitsfaktoren bzw. 0,5 * (2000/1555,9 + 2000/992,0) = 1,65. Bei einer Glättung vor Anwendung der Operatoren werden zuerst die Spannungskomponenten geglättet. Anschließend wird eine von Mises-Spannung und dann ein Sicherheitsfaktor berechnet, d. h. 2000/933,6 = 2,14.
Als weiteres Beispiel können Sie ein hypothetisches Modell heranziehen, in dem Wärme in einer bestimmten Menge direkt von einer Knotenwärmequelle weg strömt, und zwar in entgegengesetzter Richtung durch zwei verschiedene Elemente, die den Knoten verwenden. (Beachten Sie, dass der Wärmestrom ein Vektorergebnis ist.) Da die Größe ein Vorgang für einzelne Vektorkomponenten ist, entspricht die Größe des mittleren Wärmestroms einem positiver Wert X, wenn die Glättung nach Anwendung von Operatoren erfolgt (Berechnung der Größe jedes Vektors und anschließende Ermittlung des Durchschnitts). Erfolgt die Glättung vor Anwendung von Operatoren (Mittelwert von zwei gleichen, aber entgegengesetzten Vektoren und Berechnung der Größe), beträgt der Wert Null.
Die folgende Tabelle gibt einen Überblick über diese Beispiele.
| Nach Anwendung von Operatoren glätten | Vor dem Anwendung von Operatoren abgleichen | |
|---|---|---|
| von Mises-Spannung |
|
Dabei werden alle sechs Spannungskomponenten geglättet. |
| Sicherheitsfaktor |
|
|
| Größe des Wärmestromvektors |
|
|
Die Option Vor dem Anwendung von Operatoren abgleichen kann erhebliche Auswirkungen haben, wenn der Operator für den absoluten Wert mit Basiswerten unterschiedlichen Vorzeichens an einem einzelnen Knoten verwendet wird oder wenn der von Mises-Operator auf Tensoren angewendet wird, die ähnliche Hauptwerte, aber unterschiedliche Hauptrichtungen haben.
Wenn dieser Befehl aktiviert ist, werden die absoluten Werte der Kontur angezeigt. Wenn Sie den Befehls Ergebnisse glätten verwenden, werden für die Glättung an jedem Knoten die absoluten Werte genutzt.
Wenn dieser Befehl aktiviert ist, wird die Kontur der Elemente entsprechend dem Knoten mit der höchsten Anzeigewert für die Spannung dargestellt. Er kann zusammen mit dem Befehl Absoluter Wert verwendet werden. Diese Option ist nicht verfügbar, wenn der Befehl Glättungsoptionen aktiviert ist.
Wenn dieser Befehl aktiviert ist, wird der Sicherheitsfaktor für die ausgewählte Spannungskontur angezeigt. Der Sicherheitsfaktor ist das Verhältnis zwischen zulässiger Spannung und tatsächlicher Spannung. Ein Sicherheitsfaktor von 1 bedeutet, dass die Spannung gleich dem zulässigen Grenzwert ist. Ein Sicherheitsfaktor von weniger als 1 kennzeichnet einen Fehler. Ein Sicherheitsfaktor von größer als 1 kennzeichnet eine zulässige Analyse. Die zulässigen Spannungen können mithilfe des Befehls Zulässige Spannungswerte festsetzen pro Bauteil zugewiesen werden.
Im Abschnitt Glättungsoptionen finden Sie wichtige Informationen darüber, wie sich die Option Vor dem Anwenden von Operatoren abgleichen auf den Faktor der Sicherheitsberechnung auswirkt.
Bei Auswahl dieses Befehls wird das Dialogfeld Zulässige Spannungswerte eingeblendet. Jedes Bauteil wird in einer separaten Zeile aufgeführt. Sie können entweder einen Wert in die Spalte Zulässige Spannung eingeben oder auf die Schaltflächen Streckgrenze laden bzw. Bruchgrenze laden klicken, um Werte aus der Materialbibliothek zu laden. Wenn kein Wert vorhanden ist, wird die zulässige Spannung auf 0 gesetzt. Alle Bauteile, für die die zulässige Spannung auf 0 eingestellt wird, werden aus den Analysen des Sicherheitsfaktors ausgeschlossen.
Wenn dieser Befehl aktiviert ist, wird das verschobene Modell in der Standardskalierung angezeigt. Sie können die Skalierung mit dem Befehl Optionen Verschiebung ändern.
Bei Auswahl dieses Befehls wird das Dialogfeld Optionen Verschiebung eingeblendet.
Ansichtseinstellungen
Transparenzgrad gesteuert werden. Bei Auswahl dieses Befehls wird die aktuelle Ergebniskontur als Isolinien angezeigt, die die Standorte mit identischen Ergebnissen verbinden. Die Isolinieneinstellungen können mithilfe des Befehls Optionen Isoausgaben geändert werden.
Bei Auswahl dieses Befehls wird die aktuelle Ergebniskontur als Isoflächen angezeigt, die die Standorte mit identischen Ergebnissen verbinden. Die Isoflächeneinstellungen können mithilfe des Befehls Optionen Isoausgaben geändert werden.
Durch diesem Befehl wird das Dialogfeld Optionen Isoausgaben aufgerufen, in dem Sie die Einstellungen für Isolinien und Isoflächen im Modell steuern können.
Ansichtseinstellungen
Transparenzgrad gesteuert werden. Wenn nur eine einzelne Isolinie oder Isofläche an einem bestimmten Wert angezeigt werden soll, wählen Sie das Optionsfeld Einzeln im Feld Anzahl der Erhöhungen und dann das Optionsfeld Angeben im Feld Basiswert bei aus. Geben Sie den Wert in das angrenzende Feld ein.
Wenn die Isolinien oder Isoflächen basierend auf den maximalen und minimalen Werten in der aktuellen Anzeige gleichmäßig verteilt werden sollen, wählen Sie das Optionsfeld Erhöhungen im aktuellen Bereich im Abschnitt Anzahl der Erhöhungen aus, und geben Sie die Anzahl der Isolinien oder Isoflächen, die erstellt werden sollen, in das angrenzende Feld ein. Die Differenz zwischen den maximalen und minimalen Werten wird durch den angegebenen Wert dividiert. Isolinien oder Isoflächen werden dann in diesem Intervall generiert. Wenn die Optionsfelder Minimum des aktuellen Ergebnisses oder Maximum des aktuellen Ergebnisses im Abschnitt Basiswert bei ausgewählt wurden, beginnen die Isolinien oder Isoflächen beim Minimalwert und enden beim Maximalwert. Bei Auswahl des Optionsfelds Angeben wird die erste Isolinie oder Isofläche an dem Wert im angrenzenden Feld angezeigt. Die restlichen Isolinien oder Isoflächen werden in den angegebenen Intervallen unterhalb und oberhalb dieses Werts generiert.
Um das Intervall zwischen den generierten Isolinien oder Isoflächen anzugeben, aktivieren Sie das Optionsfeld Erhöhung alle im Abschnitt Anzahl der Erhöhungen, und geben Sie das Intervall in das angrenzende Feld ein. Wenn die erste Isolinie oder Isofläche an dem Minimalwert und die nachfolgenden Isolinien oder Isoflächen in dem angegebenen Intervall darüber gezeichnet werden sollen, aktivieren Sie das Optionsfeld Minimum des aktuellen Ergebnisses im Abschnitt Basiswert bei. Wenn die erste Isolinie oder Isofläche an dem Maximalwert und die nachfolgenden Isolinien oder Isoflächen in dem angegebenen Intervall darunter gezeichnet werden sollen, aktivieren Sie das Optionsfeld Maximum des aktuellen Ergebnisses im Abschnitt Basiswert bei. Wenn die erste Isolinie oder Isofläche an einem bestimmten Wert und die nachfolgenden Isolinien oder Isoflächen in dem angegebenen Intervall darunter oder darüber gezeichnet werden sollen, aktivieren Sie das Optionsfeld Angeben im Abschnitt Basiswert bei, und geben Sie den Wert in das angrenzende Feld ein.
Bei Auswahl dieses Befehls wird das Dialogfeld Allgemeine Flächenkontaktoptionen aufgerufen.
Dieser Befehl ist nur für Strukturanalysen verfügbar.
Dieser Befehl ist nur für Strukturanalysen verfügbar. Bei Auswahl dieses Befehls wird das Dialogfeld Optionen dicke/dünne Verbundwerkstoffe aufgerufen.
Dieser Befehl ist nur für Spannungsanalysen verfügbar. Bei Aktivierung dieses Befehls werden die Spannungs- und Dehnungstensoren in lokalen Elementkoordinaten angezeigt, wenn Sie Ergebniskonturen
Spannung
Tensor oder Ergebniskonturen
Dehnung
Tensor auswählen.
Bei der Anzeige von Ergebnissen in lokalen Elementkoordinaten, wird in der Legende für die X-Richtung 1, für die Y-Richtung 2 und für die Z-Richtung 3 angezeigt. Wenn Sie beispielsweise Ergebnisse: Spannung: Spannungstensor: XY auswählen, wird die Scherspannung im lokalen Koordinatensystem 1-2 angezeigt.
Die Richtung der lokalen Elementergebnisse hängt vom Elementtyp ab. Siehe folgende Tabelle und Abbildungen. In allen Abbildungen werden sowohl Elemente mit 3 Knoten als auch Elemente mit 4 Knoten angezeigt. Die Punkte auf den Seiten j-k und i-l befinden sich auf den Mittelpunkten der Kanten und dienen zur Definition der lokalen Achse 1 für die lineare Spannungsanalayse (oder der lokalen Achse a für Verbundwerkstoffelemente). Bei nichtlinearen Spannungen ist die lokale Achse 1 (oder die lokale Achse a für Verbundwerkstoffelemente) parallel zur Kante i-j. Die benutzerdefinierte Element-Knotennormale definiert die Richtung von Achse 3. Bei 2D-Elementen verläuft die lokale Achse 3 immer in die globale +X-Richtung. Die Rechte-Hand-Regel bestimmt dann die Richtung von Achse 2 (oder von der lokalen Achse b für Verbundwerkstoffe).
Ansicht
Elementausrichtung auswählen. Bei Verbundwerkstoffelemente zeigen die Elementausrichtungen die Achsen a-b-c. Bei allen anderen Elementtypen zeigen die Elementausrichtung die Achsen 1-2-3. Siehe die Abbildungen unten. | Elementtyp | Lokale Elementergebnisse |
|---|---|
| Linear 2D | Elementkoordinaten (1-2-3). Siehe Abbildung 1. |
| Lineare Membran | Elementkoordinaten (1-2-3). Siehe Abbildung 2. |
| Lineares Gehäuse | Elementkoordinaten (1-2-3). Siehe Abbildung 3. |
| Linearer und nichtlinearer Quader | Globale Koordinaten (X-Y-Z). |
| Linearer und nichtlinearer Tetraeder | Globale Koordinaten (X-Y-Z). |
| Lineare dicke oder dünne Verbundwerkstoffe | Lagekoordinaten, Faser (1-2-3). Siehe Abbildung 4. |
| Nichtlineare 2D, Membran und Gehäuse | Elementkoordinaten (1-2-3). Siehe Abbildung 5. |
| Nichtlineare Verbundwerkstoffe | Lagekoordinaten, Layer oder Faser (1-2-3). Siehe Abbildung 6. |
| Tabelle 1: Richtung von lokalen Elementergebnissen | |
Abbildung 1: Lokale Elementergebnisse für lineare 2D-Elemente
Abbildung 2: Lokale Elementergebnisse für lineare Membranelemente
Abbildung 3: Lokale Elementergebnisse für lineare Plattenelemente
Abbildung 4: Lokale Elementergebnisse für lineare Verbundwerkstoffelemente in Richtung 1-2-3
Die lokalen Elementachsen (a-b-c) basieren auf den Seiten i-j-k-l. Die Schicht- oder Materialachsen (x-y-z) werden um α Grad um die Elementachsen (a-b-c) gedreht. (Die Materialachsen werden unter Elementdefinition auf der Registerkarte Allgemein festgelegt.) Die Lageachsen (1-2-3) werden um ϑ Grad um die Schichtachsen gedreht. Achse 1 ist parallel zu den Fasern für jede Lage. (Die Lageachse wird unter Elementdefinition auf der Registerkarte Laminat mithilfe der Option Ausrichtungswinkel festgelegt.)
Abbildung 5: Lokale Elementergebnisse für nichtlineare Elemente
2D, Membran und Gehäuse (Verbundwerkstoffe ausgenommen): Die lokale Achse 1 ist parallel zur Seite i-j.
Abbildung 6: Lokale Elementergebnisse für nichtlineare Verbundwerkstoffelemente in Richtung 1-2-3
Die lokale Elementachse a ist parallel zur Seite i-j. Die Schicht- oder Materialachsen (x-y-z) werden um b Grad um die Elementachsen (a-b-c) gedreht. (Die Materialachsen werden unter Elementdefinition auf der Registerkarte Allgemein festgelegt.) Die Lageachsen (1-2-3) werden um a Grad um die Schichtachsen gedreht. Achse 1 ist parallel zu den Fasern für jede Lage. (Die Lageachse wird unter Elementdefinition auf der Registerkarte Komposite mithilfe der Option Ausrichtungswinkel festgelegt.)
Dieser Befehl ist nur für nichtlineare Analysen verfügbar und wird auf die Elementergebnisse angewendet (Spannung, Dehnung).
Bei Aktivierung wird das für den Gaußschen Punkt berechnete Ergebnis anstelle des Ergebnisses an dem Eckknoten angezeigt. (Nur die Gaußschen Punkte in unmittelbarer Nähe der Eckknoten werden angezeigt.)
Dieser Befehl ist nur für Strukturanalysen verfügbar. Hiermit können Sie die Begrenzungsbedingungen des Modells überprüfen, indem Sie Abhängigkeiten auf Grundlage der Verschiebungsrichtungen oder der eingeschränkten Freiheitsgrade (DOF) anzeigen. Wenn Sie genau die Freiheitsgrad-Kontrollkästchen aktivieren, die den durch eine Abhängigkeit eingeschränkten Freiheitsgraden entsprechen, wird für die Abhängigkeit ein Dreieck angezeigt. Wenn Sie nur einen Teil der Freiheitsgrad-Kontrollkästchen aktivieren, die den durch eine Abhängigkeit eingeschränkten Freiheitsgraden entsprechen, wird für die Abhängigkeit ein Kreis angezeigt. Wenn Sie keine Kontrollkästchen aktivieren, die einer Abhängigkeit entsprechen, wird kein Symbol für die Abhängigkeit angezeigt. Standardgemäß sind alle Kontrollkästchen aktiviert, sodass Abhängigkeiten, durch die alle verfügbaren Freiheitsgrade eingeschränkt werden, als Dreiecke angezeigt werden.
Beispiel: Eine Abhängigkeit weist eine feste Translation in X- und Y-Richtung auf, während für eine andere nur die X-Richtung fixiert ist. Wenn Sie nur das Kontrollkästchen für die Y-Translation auswählen, wird die erste Abhängigkeit als Kreis angezeigt und die zweite Abhängigkeit ausgeblendet. Wenn Sie dann zusätzlich die X-Translation auswählen, wird die erste Abhängigkeit als Dreieck und die zweite Abhängigkeit als Kreis angezeigt.