Zulässige Spannung

X: Starke Achse

Y: Schwache Achse

Z: Primärachse

Variable Beschreibung
α Drehungswinkel für Hauptachsen des Winkelabschnitts
A Querschnittsfläche
Af Bereich Druckflansch
As Scherbereich für Röhrenelement - Rohr
Asx X-Scherbereich für prismatisches Element
Asy Y-Scherbereich für prismatisches Element
b Breite des Elements (b ≤ d)
b0

Abstand von der neutralen Achse zur Kante des Netzes:

be Effektive Breite des Baustahlrohrelements
bf Breite des Flanschs
Cb Biegungskoeffizient abhängig von der Momentsteigung (Abschnitt F)
Cc Stützenschlankheitsverhältnis zur Trennung von elastischem und inelastischem Beulen (Abschnitt E)
Cmx, Cmx Koeffizient, der auf das Biegungsterm in der Interaktionsgleichung angewendet wird (Abschnitt H)
d Tiefe des Elements (d ≥  b)
E Elastizitätsmodul
E0

Abstand des Scherzentrums von der Mittellinie des Netzes für Kanal:

E0 = e0 + tw/2

Fa Maximal zulässige Druckspannung
Fb Maximal zulässige Biegespannung
Fbx Maximal zulässige Biegespannung für starke Achse
Fby Maximal zulässige Biegespannung für schwache Achse

Fex, Fey

Euler-Spannung für prismatisches Element geteilt durch Sicherheitsfaktor
Ft Maximal zulässige Zugspannung
Fy Streckgrenze
Fn Maximal zulässige Scherspannung
fa Berechnete axiale Spannung (Zug oder Druck, beide als positiv angenommen)
fb Berechnete Biegespannung (als positive Menge angenommen)
fbx Berechnete Biegespannung für starke Achse
fby Berechnete Biegespannung für schwache Achse
fvx Berechnete Scherspannung in X-Richtung
fvy Berechnete Scherspannung in Y-Richtung
h

Zwischenraum zwischen Flanschen in I-förmigen Elementen:

h = d 2tf

Ix, Iy Trägheitsmomente um Hauptachsen
Iu, Iv Trägheitsmomente um Hauptachsen von Winkelabschnittselementen
K Effektiver Längenfaktor für prismatisches Element
L Abstand zwischen Querschnitten, die gegen Verdrehung oder seitliche Verschiebung des Druckflanschs verspannt sind
Lb Seitlich nicht unterstützte Länge des Druckflanschs.
Lc Maximale unverspannte Länge des Druckflansches.
Lx, Ly L in X- und Y-Richtung
M1, M2 Kleineres bzw. größeres Moment am Ende der unverspannten Länge.
P Axialkraftlast
r Bestimmender Trägheitsradius
rT Trägheitsradius eines Bereichs, der den Druckflansch plus 1/3 des Drucknetzbereichs umfasst, erfasst um eine Achse in der Netzebene
rx, ry Trägheitsradius um Hauptachsen
t Stärke
tf Stärke des Flansches
U, V Hauptachsen des Winkelabschnittselements
u, v Abstände von Hauptachsen
x, y Versatz des Schwerpunkts des Winkelabschnitts

Zulässige Spannungen

X ist die starke und Y ist die schwache Achse für alle I-förmigen Elemente und Kanäle. T-Stücke können jede der Achsen als starke Achse haben.

1. Biegespannung für starke Achse

  • Entlang ihrer schwachen Achse belastete Elemente, Y (gebogen um ihre starke Achse, X).
  • Die maximal zulässige Biegespannung der starken Achse wird in diesem Abschnitt als Fb bezeichnet.
  • Zwei Kategorien werden berücksichtigt:
    1. I-förmige Elemente, T-Stücke und Kanäle
    2. Rohre und Baustahlrohre, einschließlich quadratische und rechteckige Durchführungen und Rohre

1.A. Elemente mit kompakten Abschnitten

    Kategorie I. I-förmige Elemente, T-Stücke und Kanäle Abschnitt F1.1

  • Enthält auch T-Stücke mit kompakten Flanschen.
  • Entlang der X-Achse geladene T-Stücke werden in dieser Codeüberprüfung nicht berücksichtigt.
  • Gilt für alle I-förmigen Elemente und Kanäle, sowie für T-Stücke mit Ixx > Iyy. T-Stücke mit Ixx Iyy werden in der Codeüberprüfung nicht berücksichtigt.

Die zulässige Biegespannung ist

Fb = 0.66 Fy (F1-1)

mit der Abhängigkeit, dass Lb Lc, angegeben durch den kleineren Wert von:

(F1-2)

    Kategorie II. Rohre und Baustahlrohre Abschnitt F3.1

    Die zulässige Biegespannung ist

  • Fb = 0.66 Fy (F3-1)
  • unter den folgenden Bedingungen:
    • Rechteckige Elemente können keine größere Tiefe als 6 Mal die Breite haben.
    • Lb Lc, wobei Lc angegeben wird durch
    (F3-2)

außer dass Lc nicht kleiner als 1200 (b/Fy) zu sein braucht - M1 ist das kleinere und M2 ist das größte Biegemoment um die Enden der unverspannten Länge, erfasst um die starke Achse.

1.B. Elemente mit nicht kompakten Abschnitten

  • Muss die Abhängigkeit erfüllen: Lb Lc (F1-2) oder (F3-2), einschließlich dass rechteckige Elemente keine größere Tiefe als 6 Mal die Breite haben dürfen.
  • Enthält auch T-Stücke mit nicht kompakten Flanschen.
  • Entlang der X-Achse belastete T-Stücke werden nicht berücksichtigt.

    Kategorie I. I-förmige Elemente, T-Stücke und Kanäle Abschnitt F1.2

(F1-3)

    Kategorie II. Rohre und Baustahlrohre Abschnitt F3.2

Fb = 0.60 Fy (F3-3)

1.C. Elemente mit kompakten oder nicht kompakten Abschnitten mit Lb > Lc

  • Der Abschnitt ist nur anwendbar für Kategorie I. I-förmige Elemente, T-Stücke und Kanäle.

Wenn das Element sich unter Spannung befindet:

Fb = 0.60 Fy (F1-5)

Wenn das Element sich unter Druck befindet, wird die zulässige Biegespannung als der größere Wert aus den Gleichungen (F1-6) oder (F1-7) und (F1-8) bestimmt, mit folgenden Ausnahmen:

  • Nur Gleichung (F1-8) wird für Kanäle verwendet.
  • Keine der Gleichungen gilt für T-Stücke unter Druck; diese T-Stücke werden also nicht berücksichtigt.

Wenn

(F1-6)

Wenn

(F1-7)

Bei einem beliebigen Wert von L/rT:

(F1-8)

Cb wird konservativ als Einheit (1.0) in den Gleichungen (F1-6), (F1-7) und (F1-8) angenommen.

2. Biegespannung für schwache Achse

  • Der Abschnitt gilt nur für Kategorie I. I-förmige Elemente, T-Stücke, Kanäle und Volumenkörperstäbe (prismatische Elemente).
  • Kategorie II. Baustahlrohre in dieser Kategorie verwenden denselben Wert Fb, der für ihre starke Achse gefunden wird, für ihre schwache Achse.
  1. Elemente mit Last entlang der starken Achse, X (gebogen um ihre schwache Achse, Y).
    • Diese schwache, zulässige Biegespannung der starken Achse wird als Fby bezeichnet, in diesem Abschnitt wird sie jedoch Fb genannt.
  2. Gilt für alle I-förmigen Elemente; alle anderen werden nicht berücksichtigt.

    2.A. Elemente mit kompakten Abschnitten: Abschnitt F2.1

  • Fb = 0.75 Fy (F2-1)

    2.B. Elemente mit nicht kompakten Abschnitten: Abschnitt F2.2

  • (F2-3)

3. Zugspannung

Ft = 0.60 Fy Abschnitt D1

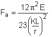
4. Druckspannung

Abschnitt E2

(E2-1)

wobei KL/r der größte Wert unter KLx/rx und KLy/ry ist, die für Rohre und Quadrate gleich sind, und

(E2-2)

5. Kombinierte Spannung

Kapitel H

5.A. Axialer Druck und Biegung

Die folgenden Voraussetzungen müssen erfüllt sein, damit auf Elemente sowohl axialer Druck als auch Biegung ausgeübt wird:

(H1-1)
(H1-2)

Wenn fa/Fa 0.15, wird Gleichung (H1-3) anstelle der Gleichungen (H1-1) und (H1-2) verwendet.

(H1-3)

Die Koeffizienten, auch bekannt als Euler-Spannung geteilt durch den Sicherheitsfaktor, Fex und Fey ergeben sich aus Folgendem:

Die Koeffizienten Cmx und Cmy haben einen Standardwert von 0.85.

5.B. Axiale Spannung und Biegung

Die folgenden Voraussetzungen müssen erfüllt sein, damit auf Elemente sowohl axiale Spannung als auch Biegung ausgeübt wird:

(H2-1)