Delamination Initiation Criteria (or Damage Initiation Criteria)

There are two different traction-based delamination initiation criteria implemented in Helius PFA.

For all delamination models implemented in Helius PFA, the prediction of delamination initiation is based on the tractions (tn, ts, tt) that occur at the integration points of the cohesive elements.

Max Stress Criterion

Quadratic Stress Criterion

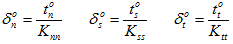
Assuming the current ratio between the three tractions (tn : ts : tt) remains constant as the loads are increased, we can calculate the tractions at which the delamination initiation will occur. For the quadratic stress criterion, these initiation tractions are

Again, assuming the current ratio between the three tractions (tn : ts : tt) remains constant as the loads are increased, we can calculate the corresponding relative displacements at delamination initiation as