Transferred torque
where:
|
P |
transferred power [Kw] |
|
|
n |
speed [min -1 ] |
Pressure on groove supporting surface
1. shaft inside diameter d h > 0
a)
b) if d min ≤d h -> d min = 1.1 d h [mm]
c) if d min ≤ 1.5 d h -> d min = 1.5 d h [mm]
2. shaft inside diameter d h = 0
where:
|
d min |
minimal shaft diameter [mm] |
|
|
d h |
shaft inside diameter [mm] |
|
|
T |
torque [Nm] |
|
|
K a |
application factor |
|
|
K f |
fatigue-life factor |
|
|
S v |
desired safety |
|
|
τ Al |
Allowable Shear Stress |
Minimum splines length to transfer the torque
|
1. Fixed connection: |
![]() |
|
2. Flexible connection: |
![]() |
|
where: |
|
T |
torque [Nm] |
|
|
K a |
application factor |
|
|
K f |
wear-life factor |
|
|
K w |
application factor |
|
|
K m |
load distribution factor |
|
|
S v |
desired safety |
|
|
d s |
middle diameter = (D + d) / 2 [mm] |
|
|
D |
outside diameter of groove section [mm] |
|
|
d |
inside diameter of groove section [mm] |
|
|
N |
number of grooves [-] |
|
|
h |
height of groove = (D - d) / 2 [mm] |
|
|
s |
chamfer [mm] |
|
|
h st |
connection height h st = h - 2 s [mm] |
|
|
p Dmin |
allowable pressure on supporting surface of shaft or groove [MPa] |
Allowable pressure
|
1. Fixed connection: |
![]() |
|
2. Flexible connection: |
![]() |
|
where: |
|
T |
torque [Nm] |
|
|
K a |
application factor |
|
|
K f |
wear-life factor |
|
|
K w |
application factor |
|
|
K m |
load distribution factor |
|
|
S v |
desired safety |
|
|
d s |
middle diameter = (D + d) / 2 [mm] |
|
|
D |
outside diameter of groove section [mm] |
|
|
d |
inside diameter of groove section [mm] |
|
|
N |
number of grooves [-] |
|
|
h |
height of groove = (D - d) / 2 [mm] |
|
|
s |
chamfer [mm] |
|
|
h st |
connection height h st = h - 2 s [mm] |
|
|
l f |
active key length [mm] |
Strength Check
p min ≤ p ds
p min ≤ p dh
where:
|
p min |
minimal calculated h/2 pressure [MPa] |
|
|
p ds |
allowable pressure in shaft [MPa] |
|
|
p dh |
allowable pressure in hub [MPa] |
Metric calculation according to CSN 01 4950
Bending stress
where:
|
s sf |
shaft chordal tooth dedendum thickness |
s sf = 2.17m |
|
|
h |
shaft tooth height |
h = 1.1m - 0.05 |
centering to tooth sides, flat groove bottom |
|
h = 1.28m - 0.05 |
centering to tooth sides, round groove bottom |
||
|
h = 1.2 m |
outside centering |
Pressure on groove supporting groove surface
where:
|
h n |
load bearing spline height |
h n = 0.9 m - 0.05 |
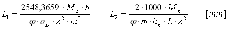
Minimum splines length
L min = max {L 1 , L 2 } [mm]
where:
Recommended values: L = (0.8 - 1.6) D
Splines check
p ≤ p d and σ≤σ d
where:
|
P |
transferred power [kW] |
|
|
n |
speed [min -1 ] |
|
|
z |
tooth number [-] |
|
|
p D |
allowable pressure on contact surfaces of teeth [MPa] |
|
|
σ D |
allowable bending stress [MPa] |
|
|
L |
active spline length [mm] |
|
|
D |
nominal spline diameter [mm] |
|
| ϕ |
factor of tooth side contact |