Boundary element method derivation

Cool is a true 3D mold cooling analysis product. It uses a numerical method developed from BEM (Boundary Element Method). From a physical point of view, BEM treats all boundaries as heat sources (gain / loss heat) during the solution.

The temperature in the mold is determined by combining the influence from all sources.

The equilibrium temperature field of a 3D mold can be represented by Laplace's equation:

where: The above equation refers to a specific point in that area, , with boundary conditions unified as:

where:

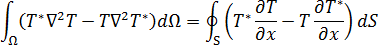
To understand how BEM applies all boundary conditions to the solution of the mold temperature field, let us start with the weighted residual expression:

Where is the weighting function.

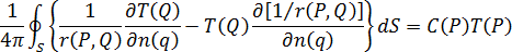
By making use of Green's second identity, equation 3 can be transformed into the following form:

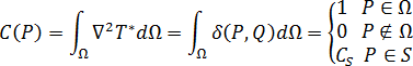
Choosing as the fundamental solution of equation 1 defined by:

where is a Dirac delta function. For a 3D mold, this can be described as:

where: Then equation 4 can be simplified as:

where:

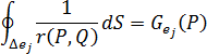
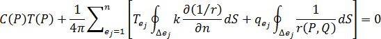
Now equation 7 only has boundary integrations. So if we divide all mold surfaces, , into elements, and assume the temperature and temperature gradient are constant over each boundary element, then equation 7 can be discretised into the following form:

where

The temperature influence term (or so-called H term), which represents the influence strength of temperature on element to point , is given by the expression

The heat flux influence term (or so-called G term), which represents the influence strength of heat flux input on element to point , is given by the expression

Suppose is the centroid of element . If we substitute in equation 9 with , then we can get linear equations as: